网站首页  词典首页


请输入您要查询的字词:

 

字词 例题
类别 中英文字词句释义及详细解析
释义 例题

有一道偏距为60mm的双辊压榨,其上辊倾斜加压,杠杆倾斜角β为70°(见图11-9-12)。上辊为花岗石,辊内未浇灌水泥。下辊为铸铁挂胶。两辊的轴颈材料为45号钢,辊面宽b为2100,轴承心距L为2600。上辊从轴承中心到辊轴螺纹外端的距离X为170。上辊带轴承的重力为14280N。下辊自身重力为15200N。上辊外径D为450,内径d为160,轴颈直径ds上为120,轴上螺纹内径d0为127.15。下辊外径D为400,内径d下为230,铸铁芯外径为350,壁厚δ为60,轴颈直径ds下为175。试验算上辊的许用附加外力〔P〕和〔P′〕,以及两辊间的许用线压力〔q〕。并求在此线压下的下辊中高K(上辊无中高)。若两辊均有中高求K和K。(题中长度单位均为mm)。

解:(算式中的长度均用厘米计)

由于50.88(kN)在以上三力中最小,故取〔QD=50.88(kN)。

5.求〔PD时应将花岗石辊的〔QD值代入式(95)中,换出表达铸铁加压辊的一项。

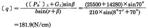
6.求〔PB时应将花岗石辊的〔QB〕表达式(81)即代人式(97)中,换出表达铸铁加压辊的一项。

7.求〔Pc时应将花岗石辊的〔Qc〕表达式(82)即代入式(99)中,换出表达铸铁加压辊的一项。

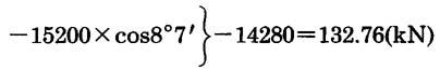
按以上计算,应选用考虑下辊刚度时的上辊许用附加外力〔=25.50kN,因为它的数值最小。但据下面的计算,当上辊加压至25.50kN时,相应的线压力q仅为181.9N/cm。此值较小且低于毛毯压榨的线压。如满足不了工艺要求,宜提高附加外力到〔PC=53.33kN,相应的线压也就提高到309.2N/cm。此值在普通压榨棍的线压范围内,可以采用。提高附加外力后,从上面计算可知上、下压辊的强度、轴颈应力均无问题。至于下辊刚度较差,可用加大中高的办法来解决,否则只好另换直径较大的下辊。

11.求两辊间的许用线压力〔q〕时,可将式(59)中的P换成〔则式中的q即为〔q〕。

此值较小,现用〔PC=53.33(kN)代替〔,则得

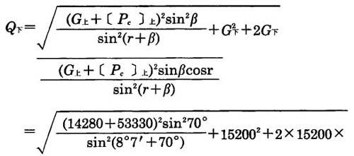
12.求下辊的实际总载荷Q时,应将式(58)中的P换成〔PC=53.33kN,则得

随便看

 

离鸟网收录3541549条中英文词条,其功能与新华字典、现代汉语词典、牛津高阶英汉词典等各类中英文词典类似,基本涵盖了全部常用中英文字词句的读音、释义及用法,是语言学习和写作的有利工具。

 

Copyright © 2004-2024 vtrois.com All Rights Reserved
更新时间:2026/4/18 9:10:50