网站首页  词典首页


请输入您要查询的字词:

 

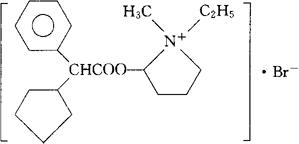
字词 环吡溴铵
类别 中英文字词句释义及详细解析
释义 环吡溴铵

C20H30BrNO2=396.37

CAS-15599-22-1

溴化1-乙基-3-羟-1-甲基吡咯烷鎓α-环戊基苯乙酸酯。

1-Ethyl-3-hyddoxy-1-methylpyrrolidinium bromide α-cyclopentylphenylacetate.

抗胆碱酯药。

Cyclopyrronium Bromide.

INN,USAN.

随便看

 

离鸟网收录3541549条中英文词条,其功能与新华字典、现代汉语词典、牛津高阶英汉词典等各类中英文词典类似,基本涵盖了全部常用中英文字词句的读音、释义及用法,是语言学习和写作的有利工具。

 

Copyright © 2004-2024 vtrois.com All Rights Reserved
更新时间:2026/4/18 9:08:08