环克索龙
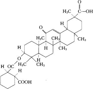
C38H56O7=624.86 CAS-52247-86-6 CAS-52048-39-2(disodium) 3β-羟基-11-氧齐墩果-12-烯-30-酸氢顺-1,2-环己烷二羧酸酯。 3β-Hydroxy-11-oxoolean-12-en-30-oicacidhydrogen cis-1,2-cyclohexanedicarboxylate. 顺式-3-[[(2-羧基环己基)羰基]氧]-11-氧代齐墩果-12-烯-29-酸。 cis-3-[[(2-Carboxycyclohexyl)carbonyl]oxy]-11-oxoolean-12-en-29-oic acid. 消炎药。用于治疗胃溃疡。 西克罗索龙,环索龙。 Cicloxolone,Bx 363A(as Disodium). INN,BAN,USAN.  |