网站首页  词典首页


请输入您要查询的字词:

 

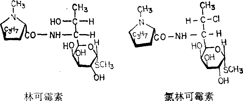
字词 林可霉素和氯林可霉素
类别 中英文字词句释义及详细解析
释义
林可霉素和氯林可霉素

林可霉素和氯林可霉素


林可霉素 (lincomycin) 林可霉素又称洁霉素。由链霉菌Str.lincolnensis产生,其盐酸盐为白色结晶,易溶于水、甲醇、乙醇,不溶于非极性有机溶剂,其游离碱,易溶于多数有机溶剂。林可霉素的晶体很稳定。
林可霉素主要作用于革兰阳性细菌,能抑制溶血性链球菌、草绿色链球菌、肺炎球菌、葡萄球菌、梭状芽孢杆菌、炭疽杆菌以及棒状杆菌等。在应用过程中,敏感菌株可逐渐地产生耐药性。林可霉素与红霉素之间可出现交叉耐药性。口服或注射后,林可霉素广泛分布在体液和组织内,其特点是较易渗透至骨组织,骨组织中药物浓度约为血清浓度的1/3~1/2。口服后主要从胆汁和粪便排出。肌内注射或静脉注射后,经尿排出量为30~60%。
林可霉素用于治疗敏感细菌所致的多种感染如咽炎、蜂窝织炎、骨髓炎、化脓性关节炎、肺炎、心内膜炎、菌血症等,尤其适用于葡萄球菌引起的急性和慢性骨髓炎。
最常见的副作用是胃肠道反应,口服后尤为多见,可出现恶心、呕吐、食欲不振、腹泻等,偶尔发展为严重腹泻或伪膜性结肠炎。患者可有发热、腹胀、大便带脓血、白细胞增高等、停药后症状仍可持续数周。现已知伪膜性肠炎发生的原因,主要由于抗菌素引起肠道内菌群失调,使存在于正常肠道中的难辨梭状芽胞杆菌大量繁殖,该菌能产生毒素,引起上述症状。林可霉素或其他抗生素引起的伪膜性肠炎,口服万古霉素有效,长时期和大剂量使用能导致白色念珠菌二重感染。林可霉素口服剂量为成人每日1.5~3.0g,分3~4次口服,肌内注射和静脉注射剂量为每8小时300~600mg。必要时可增加到每日2.4~4.8g,分次注射。儿童口服剂量为每日30~60mg/kg,肌内注射或静脉注射为每日15~40mg/kg。
氯林可霉素(clindamycin) 又称氯洁霉素,是林可霉素的半合成衍生物。后者第7位碳原子上羟基被氯原子所取代。性质与林可霉素相似。氯林可霉素的抗菌谱与林可霉素基本相同,对多数细菌的抗菌作用比林可霉素强4倍以上。特别对肺炎球菌、溶血性链球菌、葡萄球菌等有较强的抗菌作用。口服后肠道吸收较完全,食物对吸收的影响较小。临床适应证与林可霉素相同,此外本品对各种厌氧菌、如拟杆菌属、厌氧链球菌、梭状芽胞杆菌等,有很强的抗菌作用。以氯林可霉素的磷酸盐治疗各种厌氧菌感染已获良好疗效。副作用与林可霉素相似,也以胃肠道反应多见,偶尔引起伪膜性肠炎。口服剂量:成人每日剂量为600~1,800mg,分3~4次。注射用药,成人每日0.6~2.4g,分2~4次肌内注射或静脉滴注。儿童剂量为每日10~30mg/kg,分次口服或注射。肝、肾功能有损害者慎用。
☚ 环丝氨酸   磷霉素 ☛
00005646
随便看

 

离鸟网收录3541549条中英文词条,其功能与新华字典、现代汉语词典、牛津高阶英汉词典等各类中英文词典类似,基本涵盖了全部常用中英文字词句的读音、释义及用法,是语言学习和写作的有利工具。

 

Copyright © 2004-2024 vtrois.com All Rights Reserved
更新时间:2026/4/17 21:55:03