网站首页  词典首页


请输入您要查询的字词:

 

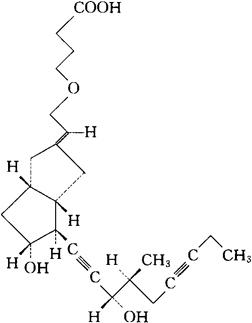
字词 依他前列素
类别 中英文字词句释义及详细解析
释义 依他前列素

C24H34O5=402.53

CAS-90693-76-8

4-[2-[(2E,3aS,4S,5R,6aS)-六氢-5-羟基-4-[(3S,4S)-3-羟基-4-甲基-1,6-壬二炔基]-2-(1H)-并环戊二烯基]乙氧基]丁酸。

4-[2-[(2E,3aS,4S,5R,6aS)-Hexahydro-5-hydroxy4-[(3S,4S)-3-hydroxy-4-methyl-1,6-nonadiyny]-2-(1H)-pentalenyli-dene]ethoxy]-butyric acid.

前列腺素类药。

Eptaloprost,ZK 97959.

INN,USAN.

随便看

 

离鸟网收录3541549条中英文词条,其功能与新华字典、现代汉语词典、牛津高阶英汉词典等各类中英文词典类似,基本涵盖了全部常用中英文字词句的读音、释义及用法,是语言学习和写作的有利工具。

 

Copyright © 2004-2024 vtrois.com All Rights Reserved
更新时间:2026/4/19 11:12:02