网站首页  词典首页


请输入您要查询的字词:

 

字词 依他必利
类别 中英文字词句释义及详细解析
释义 依他必利

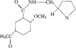
C17H24N2O3=304.39

CAS-68788-56-7

5-乙酰-N-[(1-乙基-2-吡咯烷基)甲基]-邻-茴香酰胺。

5-Acetyl-N-[(1-ethyl-2-pyrrolidinyl)methyl]-oanisamide.

5-乙酰-N-[(1-乙基-2-吡咯烷基)甲基]-2-甲氧苯甲酰胺。

5-Acetyl-N-[(1-ethyl-2-pyrrolidinyl)methyl]-2-methoxybenzamide.

抗精神病药,镇吐药。

Etacepride.

INN,USAN.

随便看

 

离鸟网收录3541549条中英文词条,其功能与新华字典、现代汉语词典、牛津高阶英汉词典等各类中英文词典类似,基本涵盖了全部常用中英文字词句的读音、释义及用法,是语言学习和写作的有利工具。

 

Copyright © 2004-2024 vtrois.com All Rights Reserved
更新时间:2026/4/19 18:06:56