网站首页  词典首页


请输入您要查询的字词:

 

字词 液压缸的主要性能参数
类别 中英文字词句释义及详细解析
释义

液压缸的主要性能参数


(1)压力

A.公称压力pn,也称额定压力,是液压缸能用以长期工作的压力。国家标准GB7938-87(等效于ISO3322-1975)规定了液压缸公称压力系列见表23.1-2。

表23.1-2 液压缸的公称压力pn(摘自GB7938-87) 单位:MPa

B.最高允许压力Pmax,也是动态试验压力,是液压缸在瞬间所能承受的极限压力。

各国规范通常规定为

pmax≤1.5pn (MPa) (23.1-1)

C.耐压试验压力pT,是液压缸在检查质量时需承受的试验压力。在规定时间内,液压缸在此压力pT下,全部零件不得有破坏或永久性变形等异常现象。

各国规范多数规定为:

当 额定压力pn≤16MPa时

pT=1.5pn (MPa) (23.1-2)

当 额定压力pn>16MPa时

pT=1.25pn (MPa) (23.1-3)

军用产品规范则规定为

pT=(2~2.5)pn (MPa) (23.1-4)

D.最低启动压力p0,是液压缸在空载工况下,通入液压油逐渐升压,活塞杆在刚启动时的压力值,此压力值为液压缸的最低启动压力。

(2)活塞行程

国家标准GB2349-80(等效于ISO4393-1978)规定了液压缸活塞行程系列见表23.1-3。

表23.1-3(a) 液压缸活塞行程系列(摘自GB2349-80) 单位:mm

表23.1-3(b) 液压缸活塞行程系列(摘自GB2349-80) 单位:mm

表23.1-3(c) 液压缸活塞行程系列(摘自GB2349-80) 单位:mm

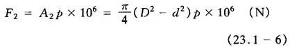
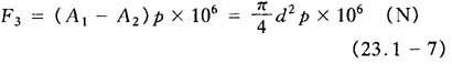
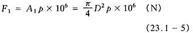
(3)液压缸活塞的理论推力和拉力

以双作用单活塞杆液压缸为例(其他类型液压缸依此类推)。

活塞受力如图23.1-1所示。

图23.1-1 液压缸活塞受力示意图

当活塞杆伸出时的理论推力F1

当活塞杆缩回时的理论拉力F2

当活塞差动前进时(即活塞两侧同时进压力相同的液压油)的理论推力F3

以上三式中

D——活塞直径(缸筒内径)(m);

d——活塞杆直径(m);

A1——活塞无杆侧有效面积(m2);

A2——活塞有杆侧有效面积(m2);

p——工作压力(MPa)。

(4)液压缸负载率ψ

液压缸负载率ψ为实际使用推力(拉力)与理论额定推力(拉力)的比值:

ψ值是用以衡量液压缸在工作时的负载,通常采用ψ≈0.5~0.7,但对有些用途也可取ψ≈0.45~0.75。

随便看

 

离鸟网收录3541549条中英文词条,其功能与新华字典、现代汉语词典、牛津高阶英汉词典等各类中英文词典类似,基本涵盖了全部常用中英文字词句的读音、释义及用法,是语言学习和写作的有利工具。

 

Copyright © 2004-2024 vtrois.com All Rights Reserved
更新时间:2026/4/19 9:27:33