网站首页  词典首页


请输入您要查询的字词:

 

字词 麦芽糖醇
类别 中英文字词句释义及详细解析
释义

麦芽糖醇


别名 氢化麦芽糖

编码 GB 19.005;INS 965

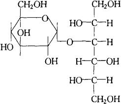
化学结构

C12H24O11 相对分子质量 344.31

性状 白色结晶性粉末或无色透明的中性粘稠液体,易溶于水,不溶于甲醇和乙醇。甜度为蔗糖的85%~95%,具有耐热性、耐酸性、保湿性和非发酵性等特点,基本上不起美拉德反应。

制法 由麦芽糖氢化或以淀粉为原料,用多酶水解法制成高麦芽糖,再经氢化、浓缩制得。

质量标准

鉴别方法

1.溶解度 易溶于水,稍溶于乙醇。

2.熔点 148~151℃。

3.旋光度 〔α〕 +105.5°~+108.5°。

4.薄层层析 用硅胶铺板,取本品和标准麦芽糖醇各50mg,分别溶于20mL水中。各取2μL点在薄层板底部,用丙醇:乙酸乙酯:水=70∶20∶10的混合液作流动相展层,超过17cm。将薄板置空气中干燥,并用0~2mg/100mL高碘酸钠溶液喷雾,在空气中干燥15min后,再用含有2mg/100mL四甲基二氨基甲苯的冰乙酸:丙酮=20∶80的混合液喷雾。由样品液所得的主斑点在位置、颜色、大小上都与标准麦芽糖醇溶液所得主斑点相似。

毒理学依据

1.ADI 无需规定(FAO/WHO,1994)。

2.代谢 在人体内不被消化吸收,除肠内细菌利用一部分外,其余均排出体外。

使用 甜味剂、湿润剂、稳定剂。

1.使用注意事项

(1)本品吸湿性很强,一般商品为麦芽糖醇糖浆。

(2)本品热值仅为蔗糖的5%,为低热值甜味剂,又因其在体内不被代谢,适用于供糖尿病、肥胖症、心血管病患者食用的疗效食品。用于儿童食品,可防龋齿。

2.使用范围及使用量

(1)我国《食品添加剂使用卫生标准》(GB 2760-1996)规定:可按生产需要适量用于雪糕、冰棍、糕点、果汁(味)型饮料、饼干、面包、酱菜和糖果;用于果汁(味)型饮料,按稀释倍数的80%加入。

(2)实际使用参考:本品可用作果汁、蜜汁饮料、果酱等的保香剂、增稠剂;配制酒、果汁酒、甜酒、清凉饮料的增稠剂。用于食品加工可防色变、龟裂、霉变。也可用于咸菜保湿。

用于乳酸饮料,利用其难发酵性,可使饮料甜味持久。

用于果汁饮料,可作为增稠剂;用于糖果、糕点,其保湿性和非结晶性可避免干燥和结霜。

本品兼有改善糖精钠风味的作用。

随便看

 

离鸟网收录3541549条中英文词条,其功能与新华字典、现代汉语词典、牛津高阶英汉词典等各类中英文词典类似,基本涵盖了全部常用中英文字词句的读音、释义及用法,是语言学习和写作的有利工具。

 

Copyright © 2004-2024 vtrois.com All Rights Reserved
更新时间:2026/4/21 11:47:14