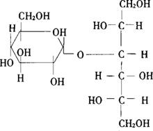
结构式:

分子式:C12H24O11
相对分子质量:344.31
麦芽糖醇的鉴别
1.试剂和溶液
1.1 硅胶G。
1.2 高碘酸钠溶液 20mg/100mL。
1.3 展开剂 丙醇+乙酸乙酯+水(70+20+10)。
1.4 2mg/100mL四甲基二氨基甲苯的冰乙酸溶液+丙酮=20+80。
2.操作步骤
2.1 溶解度 易溶于水,稍溶于乙醇。
2.2 熔点 148~151℃。
2.3 比旋光度
+105.5°~+108.5°。
2.4 薄层层析 用硅胶铺板,取本品和标准麦芽糖醇各50mg,分别溶于20mL水中。各取2μL点在薄层板底部,用丙醇+乙酸乙酯+水=70+20+10的混合液作流动相展层,超过17cm。将薄板置空气中干燥,并用20mg/100mL高碘酸溶液喷雾,在空气中干燥15min后,再用含有2mg/100mL四甲基二氨基甲苯的冰乙酸+丙酮=20+80的混合液喷雾。由样品液所得的主斑点在位置、颜色、大小上都与标准麦芽糖醇溶液所得主斑点相似。