网站首页  词典首页


请输入您要查询的字词:

 

字词 地基及基础结构
类别 中英文字词句释义及详细解析
释义

地基及基础结构


(一)地基土

土一般由固体的颗粒、水和空气三部分组成,各占比例的多少反映土的物理性质。根据土的组成,可简化绘成土的三相图(图17-1)。

图17-1 土的三相图

g-土的总重量(g=gs+gw)(g); gs-土的固体颗粒的重量(g);

gω-土中水的重量(g); gw-土中气体的重量(g),ga≈0;

V-土的总体积; Vs-土中固体颗粒的体积(cm3):

Vω-土中水所占的体积(cm2); Va-土中空气所占的体积(cm3);

Vv-土中空隙的体积]

1.土的基本物理性质指标

1)土的基本物理性质指标(表17-10)

表17-10 土的基本物理性质指标

表17-11 土的基本物理性质指标的换算

2)土的基本物理性质指标的换算(表17-11)

3)粘性土的可塑性指标(表17-12)

表17-12 粘性土的可塑性指标

注:塑限现场简易测定方法:在土中逐渐加水,至能用手在毛玻璃板上搓成土条,当土条搓到直径3mm时,恰好断裂,此时土条的含水量,即为塑限。

4)砂土的密实度指标和颗粒组成

(1)砂土的密实度指标(表17-13)。

表17-13 砂土的密实度指标

(2)颗粒组成。土按粒径大小分组所占的重量百分数,如分配曲线图(图17-2)。

图17-2 颗粒分配曲线

从颗粒分配曲线求得小于该粒径的颗粒占土总重的60%称为界限粒径(de0),小于该粒径的颗粒占土总重的10%称为有效粒径(d10)。

土的级配是否良好,可用不均匀系数Cu来衡量。

土的不均匀系数愈大,表明土的粒径成分愈不均匀。工程上把Cu<5的土看作级配均匀,Cu>10的土看作级配良好。

5)透水性指标

以土的渗透系数K表示,其物理意义为当水力坡度等于1时的渗透速度,计算公式:

式中 K——渗透系数(cm/s或m/d);

Q——单位时间内渗透通过的水量(cm3/s或m3/d);

4——通过水量的总横断面积(cm2或m2);

V——渗透速度(cm/s或m/d);

I——水力坡度(高水位与低水位之差与渗透距离的比值)。

s——断面间的距离(cm);

h——距离为s的断面间的水头差(cm)。

砂土的渗透系数与有效粒径的经验公式:

K=Cd10(0.7+0.03t)

式中 K——渗透系数(m/d);

d10——颗粒的有效粒径(mm);

t——渗透水的温度(℃);

C——常数(粘土质砂为500~700,纯砂700~1000)。土的渗透系数参考值,如表17-14所列。

表17-14 土的渗透系数参考值

2.土的力学性质指标

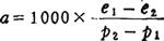
1)压缩系数

通常用压缩系数(或用压缩模量)来表示土的压缩性,其值可由原状土的压缩试验确定。

压缩系数按下式计算:

式中 α——土的压缩系数(MPa-1);

P1,P2——压力(MPa);

e1,e2——对应于P1,P2的孔隙比。

评价地基压缩性时,按p1为100kPa,p2为200kPa,相应的压缩系数值以α1~2表示。

当α1~2<0.1时,属低压缩性土;

当0.1≤α1~2<0.5时,属中压缩性土;

当α1~2≥0.5时,属高压缩性土。

2)压缩模量

工程上也常用室内试验求得压缩模量Es作为土的压缩性指标。压缩模量按下式计算:

式中Es为土的压缩模量(MPa);其他符号意义同压缩系数计算公式。

地基土按Es值划分压缩性等级的规定(表17-15)

表17-15 地基土按Es值划分压缩性等级的规定

3)抗剪强度

土在外力作用下抵抗剪切滑动的极限强度,一般在室内用快剪、固结快剪和慢剪三种试验方法进行。

(1)抗剪强度计算公式

τ=p×tgφ+c

式中 τ——土的抗剪强度(MPa);

P——土所承受的垂直压力(MPa);

φ——土的内摩擦角(度);

c——土的内聚力(MPa)(砂类土没有内聚力,c=0)。

(2)土的内摩擦角φ和内聚力c的求法

同一土样切取不少于4个环刀进行不同垂直压力作用下的剪切试验后,用相同的比例尺在坐标纸上绘制抗剪强度τ与垂直压力p的相关直线;直线交τ轴的截距即为土的内聚力c,直线的倾斜角即为土的内摩擦角φ,见图17-3。

图17-3 抗剪强度与垂直压力的相关直线

粘性土的有关物理力学性质指标的经验数据,参见表17-16。

表17-16 粘性土的有关物理力学性质指标的经验数据

3.土的分类

建筑地基土的种类很多且很复杂,一般分为:岩石,碎石土、砂土、粉土、粘性土、特殊土等。

1)岩石分类(表17-17、表17-18)

表17-17 岩石坚固性分类

注:强度系指未风化岩石的饱和单轴极限抗压强度。

表17-18 岩石风化程度划分表

2)碎石土分类

碎石土是粒径大于2mm的颗粒含量超过全重50%的土,根据颗粒级配、粒径含量及形状分类如表17-19。

表17-19 碎石土分类表

3)砂土分类

砂土是粒径大于2mm的颗粒含量不超过全重50%,粒径大于0.074mm的颗粒超过全重50%的土。按粒径含量分类如表17-20。

表17-20 砂土分类

砂土的密实度根据标准贯入试验锤击数N63.6按表17-21确定。

表17-21 砂土的密实度

4)粘性土分类

粘性土是塑性指数Ip大于10的土(IP由相应于76g圆锥体沉入土样中深度为10mm时测定的液限计算而得)。

(1)按工程地质特征分类

A.一般粘性土:第四纪全新世(Q4)沉积的粘性土。在湖、塘、沟、谷与河漫滩场地段新近沉积的粘性土。

B.粉土:塑性指数小于或等于10的土,其性质介于砂土和粘土之间。

C.淤泥和淤泥质土:在静水或缓慢地流水环境中沉积,经化学作用形成,天然含水量W大于液限WL,天然孔隙比e大于或等于1.5的粘性土称为淤泥。当天然孔隙比小于1.5但大于或等于1.0时为淤泥质土。

D.红粘土和次红粘土:碳酸盐岩系出露区的岩石,经红土化学作用形成的棕红、褐黄等色的高塑性粘土称为红粘土。其液限WL一般大于50,上硬下软,具有明显的收缩性,裂隙发育。经再搬运后仍保留红粘土基本特征,液限WL大于45的土称为次生红粘土。

(2)按塑性指数(IP)分类(表17-22)

表17-22 粘性土按塑性指数分类

注:定名时先按工程地质特征分类型,再按塑性指数确定。

(3)按液性指数IL分类表(17-23)。

表17-23 粘性土的状态按液性指数分类

5)土的颗粒分类(表17-24)

表17-24 土的颗粒分类

4.地基土的承载力

地基土的承载力是指在保证地基稳定的条件下,房屋和构筑物的地基变形值不大于地基容许变形值的地基承载能力。

1)地基土承载力的设计值

地基土承载力的设计值为标准值乘以分项系数后的值。设计值按下式确定。

式中 fd——地基土承载力的设计值;

fk——地基土承载力的标准值。根据物理力学指标、标准贯入度、轻便触探等方法或野外鉴别结果确定。参加统计的样本不少于6个。按表17-27~表17-35查得的承载力基本值f0乘以回归修正系数φf得出承载力标准值,而其余表查得的承载力基本值可作为承载力标准值。

r——分项系数,对岩石、碎石土、砂土取1,其余均按回归修正系数φf取值。

2)地基土承载力的基本值

根据物理力学指标平均值或野外鉴别结果,可按表17-25~表17-31确定。

表17-25 岩石f0(kPa)

注:对于微风化的硬质岩石,其承载力如取用大于4000kPa时,应有工程实践经验。

表17-26 碎石土f0(kPa)

注:①表中数值适用于骨架颗粒空隙全部由中砂、粗砂或硬塑、坚硬状态的粘性土或饱和度不大于0.5的粉土所充填。

②当粗颗粒为中等风化或强风化时,可按其风化程度适当降低承载力,当颗粒间呈半胶结状时,可适当提高承载力。

表17-27 粉土f0(kPa)

注:①有括号者仅供内插用。

②折算系数ξ为0。

③在湖塘沟、谷与河漫滩地段新近沉积的粉土,其工程性质一般较差,应根据当地实践经验取值。

表17-28 粘性土f0(kPa)

注:①有括号者仅供内插用。

②折算系数ξ为0.1。

③在湖、塘、沟谷与河漫地段新近沉积的粘性土,其工程性质一般较差,第四纪晚更新世(Qs)及其以前沉积的老粘性土,其工程性能通常较好。这些土根据当地实践经验取值。

表17-29 沿海地区淤泥和淤泥质土f0(kPa)

注:对于内陆淤泥和淤泥质土,可参照使用

表17-30 红粘土f0(kPa)

注:①本表仅用于定义范围内的红粘土。

②Ir=1.7~2.5时,内插。

③折算系数ξ为0.4。

表17-31 素填土f0(kPa)

注:①本表只适用于堆填时间超过10年的粘性土,以及超过5年的粉土。

②压实填土地基的承载力,可按实际情况采用。

根据标准贯入试验锤击数N、轻便触探试验锤击数N可按表17-32~表17-35确定。

表17-32 砂土f0(kPa)

表17-33 粘性土f0(kPa)

表17-34 粘性土f0(kPa)

表17-35 素填土f0(kPa)

注:本表只适用于粘性土与粉土组或的素填土

3)地基承载力设计值的计算

f=fkbr(b-3)+ηdro(d-0.5)

式中 f——地基承载力设计值(kN/m2);

fk——地基承载力标准值(kN/m2);

ηb,ηd——基础宽度和埋深的承载力修正系数,按基底下土类查表17-36;

表17-36 承载力修正系数

注:强风化的岩石可参照所风化层的相应土类取值。

r——土的重度,即基底以下土的天然密度ρ与重力加速度g的乘积(r=ρg);地下水位以下取有效重度(kN/m3);

b——基础底面宽度(m),当基础小于3m按3m考虑,大于6m按6m考虑;

r0——基础底面以上土的加权平均重度,地下水位以下取有效重度(kN/m3);

d——基础埋置深度(m),一般自室外地面起算。在填方整平地区,可自填土地面起算,但填土在上部结构施工完成时,应从天然地面起算。对于地下室,如采用箱形基础或筏基时,基础埋深自室外地面起算,在其他情况下,应从室内地面起算。

5.地基变形容许值

建筑物的地基变形容许值,可根据上部结构对地基变形的适应能力和使用要求,按表17-37采用。

表17-37 地基变形容许值

注:①有括号者仅适用于中压缩性土。

②l为相邻柱基的中心距离(mm),H0为自室外地面起算的建筑物高度(m)

(二)基础

1.基础的类型

基础的类型很多。按基础的材料及受力特点分,有刚性基础和钢筋混凝土基础,刚性基础包括砖基础、灰土基础、三合土基础、毛石基础、混凝土基础等。按构造形分,有带形基础、独立基础、桩基础、薄壳基础、整片基础等。常用的基础类型见表17-38。

表17-38 常用的基础类型

基础类型的选择,应考虑地基的地质、水文、冰冻等条件和上部结构特点、材料及施工等因素,选择有足够强度和稳定性的结构,以保证建筑物或构筑物的安全和正常使用。

2.基础计算的常用表

1)刚性基础台阶高宽比的容许值(表17-39)。

表17-39 刚性基础台阶高宽比的容许值

注:①P为基础底面处的平均压力(kPa)。

②阶梯形毛石基础的每阶伸出宽度不宜大于20cm。

③基础由不同材料叠合组成时,应对接触部分作抗压验算。

2)预制桩桩周围土摩擦力设计值qs(表17-40)。

表17-40 预制桩桩周围土摩擦力设计值

注:①表中数值仅用作初步设计时估算。

②尚未完成固结的填土和以生活垃圾为主的杂填土可不计其摩擦力。

3)预制桩桩端支承处土的承载力设计值qd(表17-41)。

表17-41 预制桩桩端土承载力设计值qd(kPa)

注:①表中数值仅用作初步设计估算。

②入土深度超过15m时按15m考虑。

③桩端进入持力层的深度,根据桩径和地质条件确定,一般为1~3倍桩径。

3.基础特殊构造

1)相邻建筑物的间隔距离(表17-42)。

表17-42 相邻建筑物的间隔距离

注:①表中l为房屋长度或沉降缝分隔单元长度(m);h为自基础底面起算的房屋高度(m)。

②当被影响建筑长高比为1.5<l/h<2.0时,其间隔距离可适当缩小。

2)房屋沉降缝的宽度(表17-43)

表17-43 房屋沉降缝的宽度

注:当沉降缝两侧单元层数不同时,缝宽按高层者取用。

3)相邻基础之间距离和高差要求(图17-4)

图17-4 相邻基础之间距离和高差

基槽(坑)开挖深于邻近建筑物基础时,应保持一定距离以免在施工时影响邻近建筑物的基础,一般应满足下列条件;

式中 △H——新旧建筑物基础底面标高之差(m);

L——新旧建筑物基础边缘的最小距离(m)。

4)刚性踏步形基础与留洞(图17-5)

图17-5 刚性踏步形基础与留洞

5)温度缝(图17-6)

图17-6 温度缝

6)双墙沉降缝(图17-7)

图17-7 双墙式沉降缝

7)交叉式沉降缝(图17-8)

图17-8 交叉式沉降缝

8)悬挑式沉降缝(图17-9)

图17-9 悬挑式沉降缝

随便看

 

离鸟网收录3541549条中英文词条,其功能与新华字典、现代汉语词典、牛津高阶英汉词典等各类中英文词典类似,基本涵盖了全部常用中英文字词句的读音、释义及用法,是语言学习和写作的有利工具。

 

Copyright © 2004-2024 vtrois.com All Rights Reserved
更新时间:2026/4/19 5:12:59