网站首页  词典首页


请输入您要查询的字词:

 

字词 真空洗毯器真空泵的选用
类别 中英文字词句释义及详细解析
释义 真空洗毯器真空泵的选用

【说明】 真空洗毯器真空泵的生产能力按通过洗毯器缝隙的抽气量确定。抽气量又可以空气的重量流量和体积流量表示。

1.空气的重量流量的计算

【公式】

式中 G——空气的重量流量(g/s)

γ1I——标准条件下的空气比重,取1.225×10-3g/cm3(1.225g/L)

C——湿毛毯的透气度,依据所用毛毯每平方米的重量按表1-15-41来确定,透气度以达尔西单位表示;透气度的选择:对填料含量大的纸取最小值;对化学浆的纸及含磨木浆且填料含量小的纸取中值

F——自由吸气区的面积(cm2)

PB——真空室内的压力(绝对大气压)

表1-15-41 毛毯的透气度与定量的关系

注:1达尔西=cm2

μ——空气的运动粘度(m2/s)

h——湿毛毯层的厚度(cm),按表1-15-42确定

表1-15-42 不同定量的毛毯的厚度

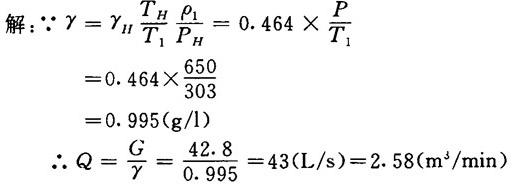
【例】 某洗毯器抽气口有效截面积为F=120cm2,透气度C=0.65达尔西,γH=0.001225g/cm3,真空室空气的温度T1=30℃,30℃时空气的运动粘度μ=1.854×10-4p,真空室中真空度为100mmHg,真空度在100mmHg下毛毯的厚度h=0.15cm。求空气流量。

解:根据已知条件知:

100mmHg的真空度折算成PB==0.132(atm)

将已知数据代入式1-15-444得:

G=

=

=42.8(g/s)

2.空气的体积流量的计算

【公式】

式中 Q——真空洗毯器的空气体积流量(L/s)

γ——温度t下空气的密度(g/L)

TH——标准条件下的绝对温度(K),取288K(15℃)

PH——标准大气压,取760mmHg

T1——真空室内空气的温度(K)

P1——真空室内空气的压力(mmHg)

其它同上

【例】 在上例中,真空室空气的压力为650mmHg,求体积流量。

根据计算出的空气体积流量即可选用真空泵。

随便看

 

离鸟网收录3541549条中英文词条,其功能与新华字典、现代汉语词典、牛津高阶英汉词典等各类中英文词典类似,基本涵盖了全部常用中英文字词句的读音、释义及用法,是语言学习和写作的有利工具。

 

Copyright © 2004-2024 vtrois.com All Rights Reserved
更新时间:2026/4/18 6:42:18