网站首页  词典首页


请输入您要查询的字词:

 

字词 真空洗浆机水腿管径计算
类别 中英文字词句释义及详细解析
释义 真空洗浆机水腿管径计算

【公式】

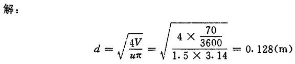
式中 d——水腿管径(m)

V——黑液通过量(m3/s)

u——水腿管内流速(m/s)

【例】 某真空洗浆机水腿黑液通过量为70m3/h,水腿管内流速为1.5m/s,试确定水腿管径。

取Φ130~150mm的管径较为合适。

随便看

 

离鸟网收录3541549条中英文词条,其功能与新华字典、现代汉语词典、牛津高阶英汉词典等各类中英文词典类似,基本涵盖了全部常用中英文字词句的读音、释义及用法,是语言学习和写作的有利工具。

 

Copyright © 2004-2024 vtrois.com All Rights Reserved
更新时间:2026/4/19 14:42:47