网站首页  词典首页


请输入您要查询的字词:

 

字词 雅可比方法
类别 中英文字词句释义及详细解析
释义 雅可比方法

求实对称矩阵的全部特征值及特征向量的有效方法。

从理论上讲,任何对称矩阵A都可以通过正交相似变换,化为对角形RTAR=A。A的对角元素,就是A的诸特征值,而R的诸列就是A的特征向量。雅可比方法是通过有限次镜像变换(正交相似变换)把矩阵的主对角线以外的每个元素的绝对值都变得很小,这样变换后的矩阵就近似一对角阵,其对角元素就可作为A的近似特征值。

它与单位矩阵的差别,仅在第p,q行与第p,q列的交叉元素上,其中

定义变换前后矩阵之间的关系为:

直止,ε为允许精度,此时就有

而Rm=P0Pi……Pm的第i列就是对应于λi的近似特征向量。

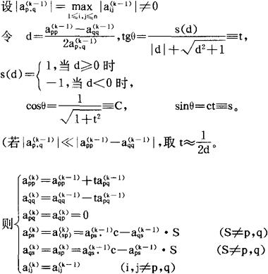
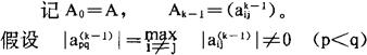
实际计算时,Ak及Rk按下列公式进行递推:

令R0=I,因为Rk=Rk-1Pk

故有

随便看

 

离鸟网收录3541549条中英文词条,其功能与新华字典、现代汉语词典、牛津高阶英汉词典等各类中英文词典类似,基本涵盖了全部常用中英文字词句的读音、释义及用法,是语言学习和写作的有利工具。

 

Copyright © 2004-2024 vtrois.com All Rights Reserved
更新时间:2026/4/19 12:27:57