网站首页  词典首页


请输入您要查询的字词:

 

字词 莽草酸
类别 中英文字词句释义及详细解析
释义

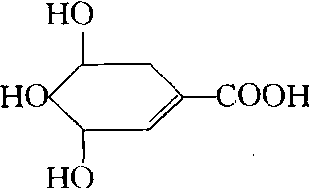
莽草酸shikimic acid

3,4.5-三羟-1-环己烯甲酸。在植物和微生物体内,由4-磷酸赤藓糖和磷酸烯醇式丙酮酸缩合成环,再经脱水还原而成。广泛存在于裸子植物的细胞液中及乔木的叶和芽中。是合成芳香族氨基酸、香豆素和某些多酚化合物的前体,在芳香族化合物合成代谢中十分重要。

随便看

 

离鸟网收录3541549条中英文词条,其功能与新华字典、现代汉语词典、牛津高阶英汉词典等各类中英文词典类似,基本涵盖了全部常用中英文字词句的读音、释义及用法,是语言学习和写作的有利工具。

 

Copyright © 2004-2024 vtrois.com All Rights Reserved
更新时间:2026/4/18 23:29:53