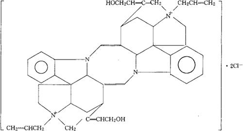
阿库氯铵
C44H50Cl2N4O2=737.81 CAS-15180-03-7 4,4′-二去甲基-4,4′二-2-丙烯基-毒马钱碱I,-二氯化物。 4,4′-Didemethyl-4,4′-di-2-propenyl-toxiferine I,idichloride. N,N′-二烯丙基去甲毒马钱碱二氯化物。 N,N′-Diallylnortoxiferinium dichlorde. 神经肌肉阻断药。具有明显的肌肉松驰作用,可作为外科手术麻醉的辅助药。 Alcuronium Dichloride,Alloferin,RO 4-3816,Toxiferene,Aloferin,Dialferin,Dialloferin. 二烯丙托锡非林,双丙烯去甲瓢箭素,阿扣罗利。 INN,BAN,JAN,USAN.  |