有机物的氧化及菌体的氧化计算
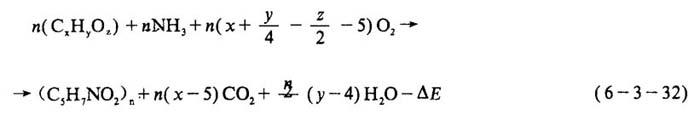
[说明]由于活性污泥的作用,废水和污水中的一部分有机物按照式6-3-31被氧化;而另一部分有机物按照式6-3-32用于增长活性污泥。如果水中有机物减少了的话,活性污泥则按照式6-3-33,通过细胞内呼吸作用来获得生存所需要的能量。而且,在式6-3-31中所产生的能量,按照式6-3-32,也同样可以作为生存所需要的能量。 1.有机物的氧化  2.菌体(细胞质)的合成  3.菌体的氧化(细胞内呼吸)  以上各式中 CxHyO2——有机营养物 (C5H7O2)n——菌体中的细胞质 △E——反应热 |