阿坦色林
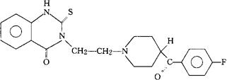
C22H22FN3O2S=461.49 CAS-76330-71-7 3-[2-[4-(对-氟苯甲酰基)哌啶基]乙基]-2-硫代-2,4-(1H,3H)-喹唑啉二酮。 3-[2-[4-(p-Fluorobenzoyl)piperidino]ethyl]-2-thio2,4(1H,3H)-quinazolinedione. 3-[2-[4-(氟苯甲酰基)-1-哌啶基]乙基]-2,3-二氢-2-硫代-4(1H)喹唑啉酮。 3-[2-[4-(Fluorobenzoyl)-1-piperidinyl]ethyl]-2,3-dihydro-2-thioxo-4(1H)-quinazolinone. 5-羟色胺拮抗药。 Altanserin. INN.  |