网站首页  词典首页


请输入您要查询的字词:

 

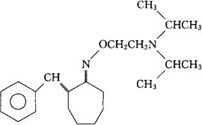
字词 司替卡尼
类别 中英文字词句释义及详细解析
释义 司替卡尼

C22H34N2O=342.52

CAS-78372-27-7

(E)-2-亚苄基环庚酮(E)-O-[2-(二异丙氨基)乙基]肟。

(E)-2-Benzylidenecycloheptanone(E)-O-[2-(diisopropylamino)ethyl]oxime.

抗心律失常药。

Stirocainide,Egyl 1855,Th 494.

INN,USAN.

随便看

 

离鸟网收录3541549条中英文词条,其功能与新华字典、现代汉语词典、牛津高阶英汉词典等各类中英文词典类似,基本涵盖了全部常用中英文字词句的读音、释义及用法,是语言学习和写作的有利工具。

 

Copyright © 2004-2024 vtrois.com All Rights Reserved
更新时间:2026/4/18 23:32:56