采样控制系统的稳态误差
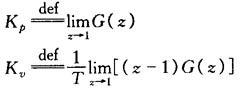
对图5.7-13所示的单位反馈采样系统稳态误差的计算示于表5.7-4。 表5.7-4 采样时刻的稳态误差e*(∞)  对表5.7-4的几点说明: ·对表中的位置误差系数Kp、速度误差系数Kv和加速度误差系数Ka分别定义如下:   ·表中的G(1)为0型系统的G(z)在z=1时的脉冲传递函数值;G1(1)为Ⅰ型系统的G(z)在消去z=1的极点之后,在z=1时的脉冲传递函数值;G2(1)为Ⅱ型系统的G(z)在消去了z=1的极点以后,在z=1时的脉冲传递函数值。 ·从表3.7-4中可看出,采样控制系统的稳态误差不但与系统典型输入信号形式和系统型别及开环增益有关,而且对有差系统的稳态误差还与采样周期的大小有关,缩短采样周期将会减小稳态误差。 |