网站首页  词典首页


请输入您要查询的字词:

 

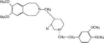
字词 西洛雷定
类别 中英文字词句释义及详细解析
释义 西洛雷定

C28H38N2O5=482.62

CAS-109859-50-9

(±)-3-[[l-(3,4-二甲氧苯乙基)-3-哌啶基]甲基]-1,3,4,5-四氢-7,8-二甲氧-2H-3-苯并氮杂-2-酮。,

(±)-3-[[1-(3,4-Dimethoxyphenethyl)-3-piperidyl]methyl]-1,3,4,5-tetrahydro-7,8-dimethoxy-2H-3-benzazepin-2-one.

减缓心律药。

Cilobradene.

INN,USAN.

随便看

 

离鸟网收录3541549条中英文词条,其功能与新华字典、现代汉语词典、牛津高阶英汉词典等各类中英文词典类似,基本涵盖了全部常用中英文字词句的读音、释义及用法,是语言学习和写作的有利工具。

 

Copyright © 2004-2024 vtrois.com All Rights Reserved
更新时间:2026/4/17 19:41:19