网站首页  词典首页


请输入您要查询的字词:

 

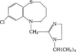
字词 达唑利辛
类别 中英文字词句释义及详细解析
释义 达唑利辛

C17H24ClN3S=337.91

CAS-61477-97-2

8-氯-3,4,5,6-四氢-6-[(1-异丙基)-2-咪唑啉-2-基]甲基-2H-1,6-苯并噻唑辛因。

8-Chloro-3,4,5,6-tetrahydro-6-[](1-isopropyl)-2-imidazolin-2-yl]]methyl]]-2H-1,6-benzothiazocine.

抗心律失常药。

Dezolicine.

INN,USAN.

随便看

 

离鸟网收录3541549条中英文词条,其功能与新华字典、现代汉语词典、牛津高阶英汉词典等各类中英文词典类似,基本涵盖了全部常用中英文字词句的读音、释义及用法,是语言学习和写作的有利工具。

 

Copyright © 2004-2024 vtrois.com All Rights Reserved
更新时间:2026/4/18 16:12:41