网站首页  词典首页


请输入您要查询的字词:

 

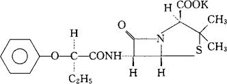
字词 左丙匹西林钾
类别 中英文字词句释义及详细解析
释义 左丙匹西林钾

C18H21KN2O5S=416.53

CAS-4803-44-5;

CAS-7245-75-2(replaced)

3,3-二甲基-7-氧代-6-[(1-氧代-2-苯氧丁基)氨基]-,4-硫杂-1-氮杂双环并[3.2.0]庚烷-2-羧酸,单钾盐[2S-[2α,5α,6β(R*)]]-。

4-Thia-1-azabicyclo[3.2.0]heptane-2-carboxylicacid,3,3-dimethyl-7-oxo-6-[(1-oxo-2-phenoxybutyl)amino]-,monopotassium sat,[2S-(2α,5α,6β(R*)]]-.

3,3-二甲基-7-氧代-6-(-)-2-苯氧丁酰胺基-4-硫杂-1-氮杂双环并[3.2.0]庚烷-2-羧酸钾。

Potassium 3,3-dimethyl-7-oxo-6-(-)-2-phenoxybutyramido-4-thia-1-azabicyclo[3.2.0]heptane-2-carboxylate.

抗生素类型。

左普匹西林钾。

Levopropicillin Potassium,Levopropylcillin Potassium,BRL-284,P-248,38389.

INN(Levopropicillin),USAN(Levopropylcillin Potassium).

随便看

 

离鸟网收录3541549条中英文词条,其功能与新华字典、现代汉语词典、牛津高阶英汉词典等各类中英文词典类似,基本涵盖了全部常用中英文字词句的读音、释义及用法,是语言学习和写作的有利工具。

 

Copyright © 2004-2024 vtrois.com All Rights Reserved
更新时间:2026/4/19 6:43:44