网站首页  词典首页


请输入您要查询的字词:

 

字词 赔款支出与赔款准备金的核算
类别 中英文字词句释义及详细解析
释义 赔款支出与赔款准备金的核算

保险公司的赔款支出在宏观上体现著保险行业的社会效益,是保障社会经济稳定的手段之一;从微观上讲,则反映著保险公司的经营水平。因此,保险公司加强对赔款支出和赔款准备金的核算具有重要意义。

(一)基本概念

1.已付赔款

已付赔款指保险人已向被保险人支付的赔款。已付赔款是属于现收现付制条件下的概念,其赔款额中既包括今年签发保单在今年出险的赔款支出,又包括去年签发的保单在今年出险的赔款支出。

2.未决赔款及赔款准备金

在每年年终结账时,保险公司都会由于各种各样的原因而存在一定数量的未结赔案。一般来说,保险公司要对这些赔案承担支付赔款义务,实际上已形成现实的赔款要求,直接与赔付率密切相关。

为承担未结赔案的保险责任,要提取相应的赔款准备金。未决赔款准备金对于责任保险更具有重要意义。一般财产保险的索赔可在较短的时期(如几个月)内予以解决,而责任险则不同,从出险到最终赔付常常经历数个年度。例如,机动车辆第三者责任险,在出现交通事故中的人身伤害时,保险公司往往要经历较长的时间去确定赔偿金额,因而整个赔付可能历时数年之久。国外某公司的统计表明,在保险事故发生年仅支付赔款总额的三分之一,第二年支付29%,第三年支付13%,第四年支付8%,如此直到第十年仍有3.7%的未付赔款。如此长时间延迟的赔款往往是件数少而金额大,有时甚至达到保险公司年收入的两到三倍。由此可知,对于未决赔款准备金的估计是否恰当,将严重影响到保险公司的财务状况。低估未决赔款准备金,会削弱保险公司的偿付能力并最终导致公司财务上出现赤字。过高估计这项准备金,可使保险公司延迟交税,但同时也使保险公司不得不另设置一定数量的保证金以应付未来的贷币贬值问题。保险公司在财政状况不佳时,常常企图把未决赔款准备金降低到最低限度,以便使公司有机会扭转亏损的局面,并避免在数年内破产的危机。

3.承受的赔款

根据权责发生制的要求,反映一定时期内(通常是一年)应付的赔款。既包括已付赔款支出,又包括未决赔款,用公式表示为:

承受的赔款=已付赔款+今年提取的赔款准备金-上年赔款准备金

其中已付赔款项目包括了上年保单在今年发生的赔款支出,根据权责发生制原则,公式中应减去上年赔款准备金。另外,今年提取赔款准备金包括对今年新赔案的准备金与旧赔案仍未决部分的准备金。

4.赔付率

它是指赔款占所收保费的比例,由保险费率、损失率与业务质量这三个因素决定。它可以用来判断保险企业成本的高低,是反映保险企业经营管理状况的一个十分重要的经济指标。按照会计记账制度的不同有相应不同的赔付率。在现收现付制下,赔付率表现为已付赔款对入账保费的比例。按权责发生制核算,赔付率应为承受的赔款对实际保费收入的比例。

(二)赔款支出的会计处理

从理论上说,保险公司的赔款支出可分为上述几种概念。但在会计核算上,则主要核算已付赔款(即赔款支出)日常支付状况,在年终则通过提取和转回未决赔款准备金来体现保险公司承受的赔款。

保险公司年终对本公司在本年度所承受的赔款进行核算,可设置“未决赔款准备金”、“提存未决赔款准备金”和“转回未决赔款准备金”三个账户来核算和监督未决赔款准备金的提存和转回。

“未决赔款准备金”账户,核算保险公司各类财产保险业务为支付在核算期内保险事故已发生已报案和已发生未报案的未决赔款所提取的准备金。提取时,贷记本科目。本科目按险种设置明细账。本科目属于负债类。

“提存未决赔款准备金”账户,核算保险企业各类财险业务为支付在核算期内保险事故已发生已报案及已发生未报案的未决赔款而按规定提取的赔款准备金。提取时,借记本科目。本科目按业务种类设置明细账,期末应无余额。本科目属于损益类。

“转回未决赔款准备金”账户,核算保险企业各类财产损失保险业务按规定转回上期提取的未决赔款准备金。转回时,贷记本科目。本科目按业务种类设置明细账,期末应无余额。本科目属于损益类。业务核算举例如下:

例:某财产保险公司在会计年度未经估算,应提取财产保险未决赔款准备金100000元,并转回上年提存的财险未决赔款准备金150000元。会计分录为:

本年末提存未决赔款准备金时:

借:提存未决赔款准备金 100000.00

贷:未决赔款准备金 100000.00

转回上年未决赔款准备金时:

借:未决赔款准备金 150000.00

贷:转回未决赔款准备金 150000.00

将本年提存的未决赔款准备金冲减当年收益时:

借:本年利润 100000.00

贷:提存未决赔款准备金 100000.00

将转回的上年未决赔款准备金转作当年收益时:

借:转回未决赔款准备金 150000.00

贷:本年利润 150000.00

(三)赔款支出的日常核算

保险赔款是指保险标的发生保险责任范围内的保险事故后,保险人向被保险人支付的损失补偿金。保险公司及时筹措资金,支付保险赔款,对维护保险人的信誉,体现保险在国民经济中的作用,恢复企业生产经营,安定人民群众生活,都是非常重要的。

理赔人员计算出赔偿金额后,填制赔款计算书,连同被保险人签章的赔款收据送交会计部门。会计部门接到业务部门的赔款计算书后,应发挥监督作用,认真审查有关内容,如赔款是否合理,保险事故是否发生在合同有效期内,损失物资是否合理处理等。审核无误后,应立即支付赔款。

为了核算和监督赔款支出情况,在日常核算时应设置“赔款支出”账户,核算保险企业财产损失保险业务按保险条款规定支付的赔款。本科目借方记发生的赔款支出和施救费用等。贷方记收回损余物资转作物料用品、错赔和骗赔追回的赔款等。本科目按险种设置明细账,期末应无余额。

1.已付赔款和预付赔款的日常核算

对于保险赔案清楚,能及时结案的,应通过“赔款支出”账户核算。

例:某企业投保企业财产险,业务部门交来赔款计算书,应赔款10000元,经审核,开出转账支票支付赔款。会计分录为:

借:赔款支出——企财险 100000.00

贷:银行存款——活期户 100000.00

赔款的计算和审核是一项细致复杂的工作,往往需要很长时间,保险公司为了使被保险人能及时恢复生产经营活动,经常采取按估计损失的一定比例预付部分赔款的办法,等损失核定后,再补足差额。为了核算和监督预付赔款的情况,应设置“预付赔款”账户,该科目借方记发生预付赔款数额,贷方记收回或转销预付赔款数额。本科目应按险种及赔案设置明细账。业务核算举例如下:

例:某企业企财险保单项下出险,一时不能结案,为了使企业能及时恢复生产经营活动,保险公司按一定比例预付部分赔款,预付金额为190000元,开出转账支票付讫。半年后,该案理算完毕,保险公司应支付赔款250000元。业务部门交来赔款计算书,开出转账支票付讫。整个业务过程的会计分录为:

出险后,保险公司支付预付赔款:

借:预付赔款——企财险——×赔案 190000.00

贷:银行存款——活期户 190000.00

半年后,保险公司理算完毕,支付赔款:

借:赔款支出——企财险 250000.00

贷:预付赔款——企财险——×赔案 190000.00

银行存款——活期户 60000.00

2.损余物资的会计核算

保险财产遭受保险事故后,在多种情况下,不是完全灭失,而是部分受损,物资还具有一定程度的利用价值,称为损余物资。正确合理地处理损余物资,对于物尽其用,减少赔款支出,有著重要的意义。损余物资一般应合理作价归被保险人所有,并在赔款中予以扣除;如果被保险人不愿接受,保险公司应按全损赔付,损余物资归保险公司处理,处理损余物资的收入冲减有关的“赔款支出”。损余物资在没有处理之前,要妥为保管。为此,要设“损余物资登记簿”,登记损余物资的数量和金额。业务核算举例如下:

例:某公司发生火灾,财产损失达1200000元,损余物资作价200000,归该公司,其余赔款全部由保险公司支付。会计分录为:

借:赔款支出——企财险 1000000.00

贷:银行存款 1000000.00

例:若上例中损余物资归保险公司。保险公司以300000元的价格出售给别的单位。其会计分录为:

借:赔款支出——企财险 1200000.00

贷:银行存款 1200000.00

出售损余物资时:

借:银行存款 300000.00

贷:赔款支出——企财险 300000.00

对于损余物资,如果保险公司一时不愿处理或无法处理,则收回时应按估价入账。业务核算举例如下:

例:若上例中的损余物资由保险公司收回入库,估价250000元,则其会计分录如下:

借:物料用品 250000.00

贷:赔款支出——企财险 250000.00

在保险理赔过程中,不可避免地要发生某些错赔或骗赔案件,一经发现,要认真查处并追回赔款,对于追回的赔款,要冲减相应的赔款支出。业务核算举例如下:

例:保险公司在支付某运输专业户的机动车辆保险赔款后,发现这是一桩骗赔案件,经保险公司和公安部门的通力合作,追回了全部50000元的赔款。其会计分录为:

借:银行存款 50000.00

贷:赔款支出——机动车险 50000.00

(四)赔款准备金的提取

每年年终时,保险公司常有一部分未决赔款案件,其中包括已经报案正在审理查勘的案件以及损失已经发生但尚未报案的赔案。具体地说,未决赔款包括三部分内容:(1)已经索赔,保险公司也已核定该案的赔款额,但在年终时尚未支付的赔款;(2)已经索赔但尚未结算的赔案,理赔拖延的原因可能是由于赔付金额或责任范围等方面还有争议或者是尚未经过检验定损;(3)已经发生但尚未报告的赔案(Incurred But Not Reported,简称IBNR)。因此,在非寿险的理赔中出现有两种延迟,即理赔本身的延迟及报案的延迟。报案延迟的原因在于保险单均有一定的索赔期,索赔期内被保险人可以随时提出索赔,而索赔期是会跨年度的。

由于损失发生的时间与最终赔付的时间之间存在著一定的时间间隔,保险公司需要提取未决赔款准备金以应付核算当年的未了赔案。未决赔款准备金构成了财产和责任保险公司资产负债表上金额较大的负债项目。

我国现行《保险公司财务制度》规定,保险公司在年末可按最高不超过当期已经提出的保险赔偿或给付金额的100%提取未决赔款准备金。未决赔款准备金的估算方法有几种,下面介绍其中几个典型方法:

1.逐案估计法

这是比较传统的估计方法。理赔人员对已报告的全部赔案进行逐案分析判断,估计出每一案件的赔款数额,然后汇总得出估计的未决赔款准备金,适当加以修正后,即可作为实用的估计值。此法可用于各险种,对于财产损失保险和保证保险尤为合适。但是此种方法要花费大量人力、物力,而且主要依靠主观判断,估计的误差很大,积累起来误差更大。

2.平均数法

平均数法有时也叫比率法,是依据历史损失数据求出每一案件的平均赔款数额,适当修正后作为基础,估计出未决赔款准备金。平均数法对于某些索赔件数多、赔付额小的险种,如汽车车身险等比较适合。估计精确度高于逐案估计法,但平均数法也将赔款的持续时间平均在内,所得的平均赔付额随赔款持续时间增加而增大。所以,对于理赔延迟较长的险种,平均数法是不适合的。因此,在运用平均数法时应注意以下几点:

(1)按险种分类,区别计算不同险种的平均赔付金额。

(2)考虑将来情况的变化,如通货膨胀、法律法规等的变化,对经验数据进行修正。

(3)注意特大赔案对平均赔付金额的影响。

3.赔付率计算法

按以往几年的历史统计资料,算出赔付率,按照不同的会计发生制原则,有几种不同口径的赔付率。用当年的实际保费收入乘以相应的赔付率,依此得出当年未决赔款准备金的数额。

4.流量三角形法

这是近年来提出的一种(以注量三角形为研究工具的)新的未决赔款准备金估算方法。保险人对一种业务的赔款经验可概括为一个如表3-2-13所示的流量三角形,其中Cij表示i年发生的赔案在j年支付的赔款额度。i表示保险事故导致赔偿发生的日历年度,称为起始年。j表示赔付情况统计年度,称为发生年。

表3-2-13

表中C11表示在第一年发生的赔案并在当年支出的赔款;C12表示第一年发生的案件在第二年支出的赔款;流量三角形各列对应的是同一日历年度的变量,主对角线表示某年发生赔案在当年的赔款支出,以后各斜线上的元素依次表示某年发生赔案在以后第二年、第三年、第四年、第五年相应的赔款支出。根据此表,可估计出若干年内发生的赔案在当年、第二年等以后各年的赔款支出比例关系,总结出其中规律,然后推测出某起始年发生赔案在特定发生年的未决赔款准备金。

流量三角形法的计算公式为:

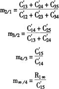
起始年i发生年j支出的赔款总额C′ij

赔案在第二发生年末的赔款总数与第一发生年末的赔款总数之比率为:

同样相继时期中,累计赔款支出比率(即第三发生年末与第二发生年末,第四发生年末与第三发生年末,……)为:

R1∞为起始年1的估计总责任准备金。根据公式及题意,对1996年发生的赔案,在1997年底全部责任的估计为:

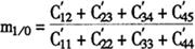
C45×m2/1×m3/2×m4/3×m∞/4

1997年底所需责任准备金为上面估计值与之差。

用流量三角形法估计IBNR未决赔款准备金,举例如下(见表3-2-14、3-2-15):

表3-2-14 某公司在1997年末有统计数据:

对上表稍作整理,则有表3-2-15:

表3-2-15

从表3-2-15我们可以得到赔案在第二发生年末的赔款总数与第一发生年末的赔款总数之比率的最佳估计为:

相继时期中,累计赔款支出比率的最佳估计计算如下:

对于1996年发生的赔案,在1997年年底,全部责任的最佳估计为:

1,193,907×1.166×1.125×1.040×1.112=1,811,172(元)

所需的责任准备金为:1,811,172-1,193,907=617,265(元)。

类似地,对于1994、1995、1997年发生的赔案,结果归纳如表3-2-16所示:

表3-2-16

如果事故的发生与相应的赔款之间的延迟模型是稳定的,那么流量三角形法估计出的未决赔款准备金的数额基本上代表了合理的结果。

(五)赔款准备金的变动对赔付率的影响

赔款准备金的变动是指对于某一特定年度发生的未决案件,上年末提存的未决赔款准备金与当年解决这些赔案支出的赔款和当年年末继续为这些未决案件提存的赔款准备金二者之和之间的差额。为了便于理解,举例如下:

假定某公司1994年有未结案10000件,估计赔款准备金为600000元。1995年,了结1994年的案件7000件,支付赔款350000元,1995年末,对尚未结案的3000件提存未决赔款准备金200000元,则1995年底赔款准备金的变动为:

600000-(350000+200000)=50000(元)

1994年发生的未决赔案,1996年又结清2500件,支付赔款150000元,未决的500件,提存赔款准备金35000元,到1996年底,赔款准备金的变动为:

200000-(150000+35000)=15000(元)

1997年,将未了赔案全部结清,支付赔款30000元,则1997年赔款准备金的变动为:

35000-30000=5000(元)

赔付率的定义在前面已经介绍过。会计年度赔付率的公式为:

现在,我们将会计年度赔付率公式中的已付赔款划分为:为以前年度的案件支付的赔款和今年业务有效实赔两部分。今年提存的赔款准备金区分为以前年度未决赔案准备金和当年发生赔案的未决赔款准备金两部分。在这种严格的划分方法下,我们给出一个新的赔付率公式(因为剔除了全部有关以前年度未决赔案的数据,只考虑今年所发生赔案的情况,姑且称其为有效赔付率)。

赔款准备金的变动并不影响会计年度赔付率,但是可以影响有效赔付率。

赔款准备金的变动有大于零、等于零、小于零三种情况。下面,我们通过例子来说明这三种情形对有效赔付率的影响。

例:某保险公司1997年底,已赚保费200000元,会计年度内已付赔款100000元,今年提取赔款准备金40000元,转回上年未决赔款准备金30000元,则会计年度赔付率。

1.假定赔款准备金变动大于零

上例中数据分解如下:

(1)为以前年度赔案支付赔款11000元;

(2)为以前年度未决案提取赔款准备金9000元;

(3)今年有效业务实赔89000元;

(4)今年发生赔案实际提取赔款准备金31000元。

(1)+(3)(11000+89000=100000)为会计年度内已付赔款;(2)+(4)(9000+31000=40000)为今年提取的赔款准备金。赔款准备金的变动=30000-(11000+9000)=10000(元)

根据公式:

2.假定赔款准备金变动为零

数据分解如下:

(1)为以前年度赔案支付赔款20000元;

(2)为以前年度未决案提取赔款准备金10000元;

(3)今年有效业务实赔80000元;

(4)今年发生赔案实际提取赔款准备金30000元。

则1997年有效赔付率为:

3.假定赔款准备金变动小于零

数据分解如下:

(1)为以前年度赔案支付赔款31000元;

(2)为以前年度未决案提取赔款准备金9000元;

(3)今年有效业务实赔69000元;

(4)今年发生赔案实际提取赔款准备金31000元。

则1997年该公司的有效赔付率为:

从上例我们可以发现,如果赔款准备金变动大于零,即上年多提了未决赔款准备金,则有效赔付率会大于计年度赔付率;如果赔款准备金变动为零,则会计年度赔付率与有效赔付率相等;若赔款准备金变动小于零,即上年少提了赔款准备金,则有效赔付率会小于会计年度赔付率。

随便看

 

离鸟网收录3541549条中英文词条,其功能与新华字典、现代汉语词典、牛津高阶英汉词典等各类中英文词典类似,基本涵盖了全部常用中英文字词句的读音、释义及用法,是语言学习和写作的有利工具。

 

Copyright © 2004-2024 vtrois.com All Rights Reserved
更新时间:2026/4/19 15:58:29