网站首页  词典首页


请输入您要查询的字词:

 

字词 伽玛(Г)分布
类别 中英文字词句释义及详细解析
释义 伽玛(Г)分布

亦称“皮尔生Ⅲ型分布”。

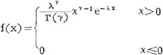
皮尔生曲线系中最重要的分布之一。指随机变量分布之一侧为有限,另一侧则延伸至无穷,按其所选择的不同参数,有不同形态的分布,其分布密度函数为:

这个分布称参数为λ>0,ν>0的伽玛分布。

其数学期望=ν/λ,方差=ν/λ2,特征函数=(1-it/λ)-γ

(1)ν=1时,就成为指数分布;(2)λ=1/2,γ=n/2时,就成为自由度为n的卡方分布。

伽玛分布在概率论、数理统计、随机过程中均有不少应用,如推导X2分布、t分布、F分布。它常用于水文统计、最大风速等的概率计算。

随便看

 

离鸟网收录3541549条中英文词条,其功能与新华字典、现代汉语词典、牛津高阶英汉词典等各类中英文词典类似,基本涵盖了全部常用中英文字词句的读音、释义及用法,是语言学习和写作的有利工具。

 

Copyright © 2004-2024 vtrois.com All Rights Reserved
更新时间:2026/4/17 16:53:27