网站首页  词典首页


请输入您要查询的字词:

 

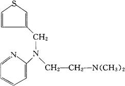
字词 西尼二胺
类别 中英文字词句释义及详细解析
释义 西尼二胺

C14H19N3S=261.38

CAS-91-79-2

CAS-958-93-0(hydrochloride)

N,N-二甲基-N-2-吡啶基--N′-(3-噻吩甲基)-1,2-乙烷二胺。

N,N-Dimethyl-N-2-pyridinyl-N′-(3-thienylmethyl)-1,2-ethanediamine.

2-[[2-(二甲氨基)乙基]-3-噻吩甲氨基]吡啶。

2-[[2-(Dimethylamino)ethyl]-3-thenylamino]pyridine.

N′N′-二甲基-N-2-吡啶基-N-3-噻吩甲基乙烯二胺。

N′N′-Dimethyl-N-2-pyridyl-N-3-thenylethylenediamine.

抗组胺药。

Thenyldiamine,Thenfadil,Tenfidil,Thenfanil,Dethylandiamine,Win 2848.

INN,BAN,USAN,MI.

随便看

 

离鸟网收录3541549条中英文词条,其功能与新华字典、现代汉语词典、牛津高阶英汉词典等各类中英文词典类似,基本涵盖了全部常用中英文字词句的读音、释义及用法,是语言学习和写作的有利工具。

 

Copyright © 2004-2024 vtrois.com All Rights Reserved
更新时间:2026/4/18 2:14:29