网站首页  词典首页


请输入您要查询的字词:

 

字词 莫索尼定
类别 中英文字词句释义及详细解析
释义 莫索尼定

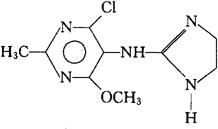
C9H12ClN5O=241.68

CAS-75438-57-2

4-氯-5-(2-咪唑啉-2-基氨基)-6-甲氧-2-甲基嘧啶。

4-Chloro-5-(2-imidazolin-2-ylamino)-6-methoxy-2-methylpyrimidine.

4-氯-N-(4,5-二氢-1H-咪唑-2-基)-6-甲氧-2-甲基-5-嘧啶胺。

4-Chloro-N-(4,5-dihydro-1H-imidazol-2-yl)-6-methoxy-2-methyl-5-pyrimidinamine.

抗高血压药。

Moxonidine,BDF 5895,BE 5895.

INN,USAN.

随便看

 

离鸟网收录3541549条中英文词条,其功能与新华字典、现代汉语词典、牛津高阶英汉词典等各类中英文词典类似,基本涵盖了全部常用中英文字词句的读音、释义及用法,是语言学习和写作的有利工具。

 

Copyright © 2004-2024 vtrois.com All Rights Reserved
更新时间:2026/4/17 19:44:48