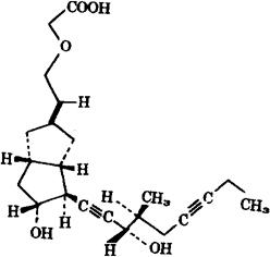
西卡前列素
C22H30O5=374.48 CAS-95722-07-9 [2-[(2E,3aS,4S,5R,6aS)-六氢-5-羟-4-[(3S,4S)-3-羟-4-甲基-1,6-壬二炔基]-2(1H)-并戊搭烯亚基]乙氧]乙酸。 [2-[(2E,3aS,4S,5R,6aS)-Hexahydro-5-hydroxy-4-[(3S,4S)-3-hydroxy-4-methyl-1,6-nonadiynyl]-2(1H)-pentalenylidene]ethoxy]acetic acid. 前列腺素类药。 Cicaprost. INN,USAN.  |