卡芦莫南钠
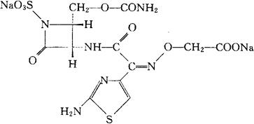
C12H12N6Na2O10S2=510.36 CAS-86832-68-0 CAS-87638-04-8 [[[2-[[2-[[(氨基羰基)氧]甲基]-4-氧代-1-硫代-3-氮杂环丁烷基]氨基]-1-(2-氨基-4-噻唑基)-2-氧代-亚乙基]氨基]氧]醋酸二钠盐,[2S-[2α,3α(Z)]]-. Acetic acid,[[[2-[[2-[[(aminocarbonyl)oxy]methyl]-4-oxo-1-sulfo-3-azetidinyl]amino]-1-(2-amino-4-thiazoly)-2-oxoethylidene]amino]oxy]-,disodium salt,[2S[2α,3α(Z)]]-. (Z)-[[[(2-氨基-4-噻唑基)[[(2S,3S)-2-(羟甲基)-4-氧代-1-硫代-3-氮杂环丁烷基]氨基甲酰]亚甲基]氨基]氧]醋酸,氨基甲酸酯二钠盐。 (Z)-[[[(2-Amino-4-thiazolyl)[[(2S,3S)-2-(hydroxymethyl)-4-oxo-1-sulfo-3-azetidinyl]carbamoyl]methylene]amino]oxy]acetic acid,carbamate(ester),disodium salt. 抗生素类药,抗菌药。 Carumonam Sodium,Ro 17-2301/006,AMA 1080(2Na). INN,BAN,USAN.  |