网站首页  词典首页


请输入您要查询的字词:

 

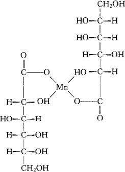
字词 葡萄糖酸锰
类别 中英文字词句释义及详细解析
释义 葡萄糖酸锰

C12H22MnO14=445.24

双(D-葡萄糖酸基-O1,O2)锰。

bis(D-G[uconato-O1,O2)manganese.

D-葡萄糖酸锰盐(1∶2)。

Manganese D-gluconate(1∶2).

微量(元素)补充药。

Manganese Gluconate.

USAN,USP.

随便看

 

离鸟网收录3541549条中英文词条,其功能与新华字典、现代汉语词典、牛津高阶英汉词典等各类中英文词典类似,基本涵盖了全部常用中英文字词句的读音、释义及用法,是语言学习和写作的有利工具。

 

Copyright © 2004-2024 vtrois.com All Rights Reserved
更新时间:2026/4/18 20:24:47