网站首页  词典首页


请输入您要查询的字词:

 

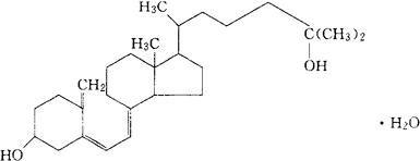
字词 骨化二醇
类别 中英文字词句释义及详细解析
释义 骨化二醇

C27H44O2·H2O=418.66

CAS-63283-36-3

9,10-开链胆甾-5,7,10(19)-三烯3,25-二醇,一水化合物,(3β,5Z,7E)。

9,10-Secocholesta-5,7,10(19)-triene-3,25-diol monohydrate,(3β,5Z,7E).

钙代谢调节药。

Caldero1,Calcifediol,U-32,070E.

INN,DCF,DCIT,NF,USAN,USP,MI.

随便看

 

离鸟网收录3541549条中英文词条,其功能与新华字典、现代汉语词典、牛津高阶英汉词典等各类中英文词典类似,基本涵盖了全部常用中英文字词句的读音、释义及用法,是语言学习和写作的有利工具。

 

Copyright © 2004-2024 vtrois.com All Rights Reserved
更新时间:2026/4/18 2:02:05