网站首页  词典首页


请输入您要查询的字词:

 

字词 系统效率定义及能耗分析
类别 中英文字词句释义及详细解析
释义 系统效率定义及能耗分析

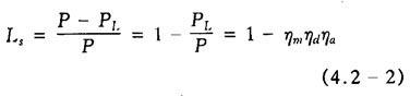
效率是衡量系统工作时能量利用情况的主要指标,即系统输出功率与输入功率之比。液压泵是用电动机或其他原动机驱动的,从社会经济总效益来看,除前面所述三类能量损失外,尚应计入原动机本身的能耗。故整个液压系统的总效率表达式应为

η=ηeηmηcηd(4.2-1)

式中 ηe——原动机效率。当原动机单独驱动单泵时,其值等于输入液压泵的功率与输入原动机的功率之比;

ηm——匹配效率。指泵输出的流量、压力与执行元件需要值之间相适应程度的一个无量纲值;

ηc——转换效率。它衡量能量转换过程的能量利用率,决定于能量转换元件、泵、液动机的效率;

ηd——传输效率。液体流动会造成损失,其中一部分是控制功能所必需的,另一部分则是非必需的额外损失,但两者难以截然分开。传输效率是综合考虑液体传输过程中两者总损失的总和。正因为包含了控制功能所必需的部分,所以其值必定小于1。

为方便研究液压节能技术,下面提出不包含原动机效率项的液压系统能耗率的概念。

(A)系统能耗率Ls就是液压系统消耗的无功功率与输入功率之比

ηa为液动机效率,它是转换效率ηc的一个组成部分,当执行元件是液压马达时,可由本手册的第二篇查得此值。若执行元件是间隙密封式的液压缸,那么ηa可近似地取为1。这时,上式可简化为

Ls≈1-ηmηd=1-ηs(4.2-3)

ηs称为系统液压效率,它近似等于匹配效率和传输效率之积。这样,若有了液压系统典型工况的负载谱,就可较准确地算出系统液压效率,从而得到系统的能耗率。反之,若能通过实测和数据处理技术估算出系统的能耗率,利用此式也就能求得系统的液压效率。

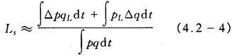
(B)系统液压效率等于输出与输入系统的压力与流量乘积的积分比

式中带“L”注脚符号的表示相应工况下的负载压力和负载流量,不带注脚符号的表示泵的瞬时供油压力和流量

以上能耗分析说明,过剩流量△q和过剩压力△p是产生流体动力系统能耗的根本原因。但是,必须注意到其中也包含了实现控制功能所必需的合理限度的耗损值。所以实际上△q和△p值不可能为零。系统节能技术就是要研究如何使这两项的值尽可能地减小,从而提高系统的工作效率。

综上所述,节能措施应包括以下几方面的内容:

·提高元件本身的效率和减少控制该元件的能量耗损。它涉及改善能量转换效率ηc和降低电气控制元件耗电量两个方面,主要依靠提高元件质量和开发新型节能元件来满足要求。

·改善泵和原动机的匹配关系,从而提高原动机运转效率ηc

·减小压力过剩,使系统供压尽量接近于负载压力,这是液压系统节能措施的核心内容之一。压力过剩包含沿程、局部压降损失和供压过高两个部分。减少压降损失部分可以提高系统传输效率ηd。使供压与需要适应,有利于改善匹配效率ηm。从能耗率计算式可见:对于负载流量大的系统,减少压力过剩是节能的有力措施。

·减少流量过剩是液压系统节能措施的另一核心内容。流量过剩包含泄漏和动力源供流过多。前者主要靠元件质量予以保证,后者则依靠合理设计动力源来改善,从而提高传输效率和匹配效率。能耗率计算式指出:流量过剩对于重载系统尤为敏感,这时降低流量过剩会产生明显节能效果。

·能量的贮存和回收。对于存在能量回馈和需要量不匀的液压系统,贮存和回收能量并加以利用,是十分有效的节能措施。

随便看

 

离鸟网收录3541549条中英文词条,其功能与新华字典、现代汉语词典、牛津高阶英汉词典等各类中英文词典类似,基本涵盖了全部常用中英文字词句的读音、释义及用法,是语言学习和写作的有利工具。

 

Copyright © 2004-2024 vtrois.com All Rights Reserved
更新时间:2026/4/18 2:00:27