网站首页  词典首页


请输入您要查询的字词:

 

字词 食品绿3
类别 中英文字词句释义及详细解析
释义

食品绿3


别名 坚牢绿(Fast Green FCF)

国外相应商品名:Aizen Food Green No.3(HCC);Fast Green FCF(WJ);FD&C Green No.3(KON WJ);Green 1724(DFA)

染料索引号:C.I.食品绿3(42053-1975)

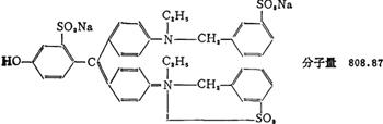
结构式

性能 带金属光泽的暗绿色颗粒或粉末,无臭。易溶于水、甘油、乙二醇和乙醇,呈蓝绿色。碱性水溶液则变为蓝色或紫色。耐热性、耐光性、耐还原性好。对柠檬酸、酒石酸稳定。对碱不稳定。吸湿性强。毒性:ADI0~12.5mg/kg(暂定,FAO/WHO,1985)。LD50>2g/kg(大鼠,经口)。

质量规格(FAO/WHO,1984)

用途 食用绿色素。与其它色素配合用于糖食制品、清凉饮料(日本仅限用于糖食制品)。食品中最高参考用量(FAO/WHO,1984):苹果调味酱、梨、加工熟豌豆罐头、果酱和果冻,200mg/kg;冷饮,100mg/kg(最终产品色素可达300mg/kg)。还可用于药品的着色。在化妆品中主要用于浴液及洗发水的着色,但不得用于眼部化妆品中。

随便看

 

离鸟网收录3541549条中英文词条,其功能与新华字典、现代汉语词典、牛津高阶英汉词典等各类中英文词典类似,基本涵盖了全部常用中英文字词句的读音、释义及用法,是语言学习和写作的有利工具。

 

Copyright © 2004-2024 vtrois.com All Rights Reserved
更新时间:2026/4/21 6:50:10