网站首页  词典首页


请输入您要查询的字词:

 

字词 相关系数
类别 中英文字词句释义及详细解析
释义 相关系数

通常是指两个变量之间的直线相关系数。

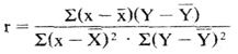
它是用来测量两个变量直线相关的紧密程度的指标。设两个变量分别为X和Y,相关系数为r,其公式为:

其性质如下:(1)系数的所在范围-1

随便看

 

离鸟网收录3541549条中英文词条,其功能与新华字典、现代汉语词典、牛津高阶英汉词典等各类中英文词典类似,基本涵盖了全部常用中英文字词句的读音、释义及用法,是语言学习和写作的有利工具。

 

Copyright © 2004-2024 vtrois.com All Rights Reserved
更新时间:2026/4/17 17:58:49