网站首页  词典首页


请输入您要查询的字词:

 

字词 盐酸西替利嗪[中]
类别 中英文字词句释义及详细解析
释义 盐酸西替利嗪[中]

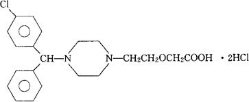
C21H25ClN2O3·2HCl=461.82

CAS-83881-52-1

CAS-83881-51-0(cetirixine)

(±)[2-[4-[(4-氯苯基)苯甲基]-1-哌嗪基]乙氧]醋酸二盐酸盐。

(±)[2-[4-[(4-Chlorophenyl)phenylmethyl]-1-piperazinyl]ethoxy]acetic acid,dihydrochloride.

(±)-[2-[4-(对-氯-α-苯基苄基)-1-哌嗪基]乙氧]醋酸二盐酸盐。

(±)-[2-[4-(p-Chloro-α-phenylbenzyl)-1-piperaziinyl]ethoxy]acetic acid,dihydrochloride.

抗过敏药。用于治疗呼吸、皮肤和眼睛变应,包括过敏性鼻炎、非季节性痉挛性鼻炎、慢性荨麻诊、枯草热以及眼睛瘙痒的结膜炎。

盐酸西替立嗪。

CetirizineHydrochloride,P 071,Virlex,Zyrtec.

INN & BAN(Cetirizine),USAN.

随便看

 

离鸟网收录3541549条中英文词条,其功能与新华字典、现代汉语词典、牛津高阶英汉词典等各类中英文词典类似,基本涵盖了全部常用中英文字词句的读音、释义及用法,是语言学习和写作的有利工具。

 

Copyright © 2004-2024 vtrois.com All Rights Reserved
更新时间:2026/4/19 2:16:26