网站首页  词典首页


请输入您要查询的字词:

 

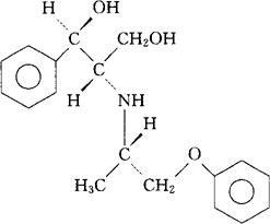
字词 索培卡诺
类别 中英文字词句释义及详细解析
释义 索培卡诺

C18H23NO3=301.39

CAS-68567-30-6

(1R*,2S*)-2-[[(S*)-1-甲基-苯氧乙基]氨基]-1-苯基-1,3-丙烷二醇。

(1R*,2S*)-2-[[(S*)-1-Methyl-2-phenoxyethyl]amino]-1-phenyl-1,3-propanediol.

抗心律不齐,心绞痛。

Solpecainol,Sopecainol.

INN,USAN.

随便看

 

离鸟网收录3541549条中英文词条,其功能与新华字典、现代汉语词典、牛津高阶英汉词典等各类中英文词典类似,基本涵盖了全部常用中英文字词句的读音、释义及用法,是语言学习和写作的有利工具。

 

Copyright © 2004-2024 vtrois.com All Rights Reserved
更新时间:2026/4/18 3:54:51