网站首页  词典首页


请输入您要查询的字词:

 

字词 甲泛葡胺[典]
类别 中英文字词句释义及详细解析
释义 甲泛葡胺[典]

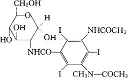
C18H22I3N3O8=789.10

CAS-31112-62-6

2-[3-乙酰胺基-2,4,6-三碘-5-(N-甲基乙酰胺)苯甲酰胺基]-2-去氧-D-葡萄糖。

2-[3-Acetamido-2,4,6-triiodo-5-(N-methylacetamido)benzamido]-2-deoxy-D-glucose.

诊断用药。

Metrizamide,Amipaque.

甲泛葡胺注射液。

INN,BAN,DCF,JAN,NFN,USAN,MI.

随便看

 

离鸟网收录3541549条中英文词条,其功能与新华字典、现代汉语词典、牛津高阶英汉词典等各类中英文词典类似,基本涵盖了全部常用中英文字词句的读音、释义及用法,是语言学习和写作的有利工具。

 

Copyright © 2004-2024 vtrois.com All Rights Reserved
更新时间:2026/4/19 11:49:35