网站首页  词典首页


请输入您要查询的字词:

 

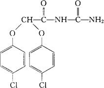
字词 脲贝特
类别 中英文字词句释义及详细解析
释义 脲贝特

C15H12Cl2N2O4=355.18

CAS-38647-79-9

N-(氨基羰基)-2,2-双(4-氯苯氧基)乙酰胺。

N-(Aminocarbonyl)-2,2-bis(4-chlorophenoxy)-acetamide.

乙醛酰脲醛基-[双(对-氯苯基)乙缩醛]。

Glyoxyloylurea aldehydo-[bis(p-chlorophenyl)acetal].

降血脂药。

Urefibrate.

INN,USAN.

随便看

 

离鸟网收录3541549条中英文词条,其功能与新华字典、现代汉语词典、牛津高阶英汉词典等各类中英文词典类似,基本涵盖了全部常用中英文字词句的读音、释义及用法,是语言学习和写作的有利工具。

 

Copyright © 2004-2024 vtrois.com All Rights Reserved
更新时间:2026/4/18 12:33:41