网站首页  词典首页


请输入您要查询的字词:

 

字词 环己西林
类别 中英文字词句释义及详细解析
释义 环己西林

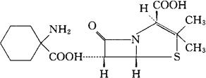
C15H23N3O4S=341.42

CAS-3458-14-1

6-(1-氨基环己烷甲酰胺基)青霉烷酸。

6-(1-Aminocyclohexanecarboxamido)penicillanic acid.

6-(1-氨基环己烷甲酰胺基)-3,3-二甲基-7-氧代-4-硫杂-1-氮杂双环[3.2.0]庚烷-2-羧酸。

6-(1-Aminocyclohexanecarboxamido)-3,3-dimethyl7-oxo-4-thia-1-azabicyclo[3.2.0]heptane-2-carboxylic acid.

抗生素类药。

Cyclacillin,Rastcillin,Cyclapen-W,WY-4508.

INN,BAN,DOF,JAN,JP,NFN,USAN,USP,MI.

随便看

 

离鸟网收录3541549条中英文词条,其功能与新华字典、现代汉语词典、牛津高阶英汉词典等各类中英文词典类似,基本涵盖了全部常用中英文字词句的读音、释义及用法,是语言学习和写作的有利工具。

 

Copyright © 2004-2024 vtrois.com All Rights Reserved
更新时间:2026/4/17 19:15:05