网站首页  词典首页


请输入您要查询的字词:

 

字词 代际交替模型
类别 中英文字词句释义及详细解析
释义
代际交替模型

代际交替模型Overlapping Generations Model

又译作交叠世代模型。消费者与子女通过利他主义联系在一起时,对消费和代与代之间转让的综合抉择模型。它构成了生命周期假定、李嘉图对等定理、家庭经济分析等理论的基本分析工具。
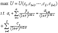
莫迪利亚尼 (F. Modigliani) 与布伦伯格(R. Brumberg) 在《效用分析与总量消费函数: 统一的释义》 中给出了如下的交叠世代模型:

其中,Cτ表示第τ年的消费,yτ表示第τ年的非资产收入,at是年龄t开始时的资产,N是工作年数,L是生命期年数。效用最大化的一阶条件是:

其中,λ是拉格朗日乘数。
贝克尔 (G. S. Becker) 和巴罗 (R. J.Barro)使用的交叠世代模型的效用函数如下:

Ui= U(ci,ni)+Y(ni)·niUi+1

该模型假定人们生活在两个时代,即儿童期和成年期,下标i表示第i代成年人,Ui表示该成年人的效用,Ci表示成年人在其成年期的消费数量,ni表示成年人所拥有的孩子数。U(Ci,ni)项表示成年期间由消费和孩子的存在所产生的效用。Y(ni).niUi+1一项表示成人考虑其孩子长大成人所带来的效用,即其下一代给成年人带来的效用。Ui+1项表示每个儿童当其为成人时可获得的效用。该效用也由上述效用函数决定,逐期来更新所有变量。假定孩子纯粹无差异并且同等地受其父母抚养,因而所有孩子均获同等效用Ui+1,ni+1个孩子获得niUi+1效用。函数Y(ni)表示父母对孩子的效用的利他主义程度,假定其具有以下性质:

Y(ni)>0,Y(ni)<0 且Y(1)<1

父母喜欢孩子的观念由Y(ni)>0表示,父母自私的想法由Y(ni)<1反映。这一模型可以确定人们对孩子数量 (生育率)及其素质 (人力资本存量) 的选择,从而可以将人口增长率或劳动力的数量与质量内生化。
☚ 消费函数理论的三个经验之谜   消费资本-资产定价模型 ☛
00000281
随便看

 

离鸟网收录3541549条中英文词条,其功能与新华字典、现代汉语词典、牛津高阶英汉词典等各类中英文词典类似,基本涵盖了全部常用中英文字词句的读音、释义及用法,是语言学习和写作的有利工具。

 

Copyright © 2004-2024 vtrois.com All Rights Reserved
更新时间:2026/4/20 9:05:51