网站首页  词典首页


请输入您要查询的字词:

 

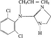
字词 烯丙尼定
类别 中英文字词句释义及详细解析
释义 烯丙尼定

C12H13Cl2N3=207.16

CAS-33178-86-8

2-(N-烯丙基-2,6-二氯苯胺基)-2-咪唑啉。

2-(N-Allyl-2,6-dichloroanilino)-2-imidazoline.

抗心律失常药。直接作用于窦房结、减慢心率、降低心肌耗氧量,治疗心肌缺血性疾病。

Alinidine,St567-Br.

INN,BAN,USAN.

随便看

 

离鸟网收录3541549条中英文词条,其功能与新华字典、现代汉语词典、牛津高阶英汉词典等各类中英文词典类似,基本涵盖了全部常用中英文字词句的读音、释义及用法,是语言学习和写作的有利工具。

 

Copyright © 2004-2024 vtrois.com All Rights Reserved
更新时间:2026/4/17 15:55:32