网站首页  词典首页


请输入您要查询的字词:

 

字词 大数定律
类别 中英文字词句释义及详细解析
释义 大数定律

亦称“大数法则”。

指随机现象的大量重复中出现几乎必然的规律。如投掷一枚硬币,每次出现正面或反面虽是偶然的,但在大量重复时,出现正面的次数与总次数之比,必然接近于1/2。这是历史上最早发现的大数定律之一。

大数定律的狭义理解是指概率论中,用来阐明大量随机现象的平均结果的稳定性的一系列定理。

它表现了必然性与偶然性之间的辩证联系的规律。由于它的作用,大量随机因素的总合作用必然导致某种不依赖于个别随机事件的结果。

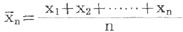
用数学方式表示大数定律:若x1,x2,……xn是随机变量数列,令

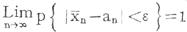
如果存在这样一个常数序列a1,a2……an对任意ε>0恒有

则称序列{xn}服从大数定律。

已经证明的大数定律有车贝雪夫大数定律、贝努里大数定律、普阿松大数定律、辛钦大数定律、马尔科夫大数定律等。

如贝努里大数定律,设x是n次贝努里试验中事件A发生的次数,p是每次试验中A发生的概率,则对任意正整数ε有

本式表示n足够大时,随机事件发生的频率就会接近于概率p,体现了频率的稳定性。

它说明当n很大时,事件发生的频率与概率有较大偏差的可能性很小,这时可用频率代替概率。

随便看

 

离鸟网收录3541549条中英文词条,其功能与新华字典、现代汉语词典、牛津高阶英汉词典等各类中英文词典类似,基本涵盖了全部常用中英文字词句的读音、释义及用法,是语言学习和写作的有利工具。

 

Copyright © 2004-2024 vtrois.com All Rights Reserved
更新时间:2026/4/18 4:30:04