网站首页  词典首页


请输入您要查询的字词:

 

字词 泰勒公式
类别 中英文字词句释义及详细解析
释义 泰勒公式

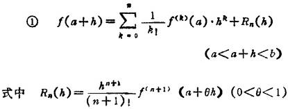
7.6.1 单变量函数的泰勒公式

如果函数f(x)满足条件:(i)在〔a,b〕上有定义,(ii)在此闭区间上有一到n阶的连续导数f′(x),f″(x),…,(iii)在(a,b)上存在有限导数f(n+1)(x),则f(x)在〔a、b〕上可表示成以下各种形式:

❸ 特别地,
❷ 中a=0时即得麦克劳林公式。

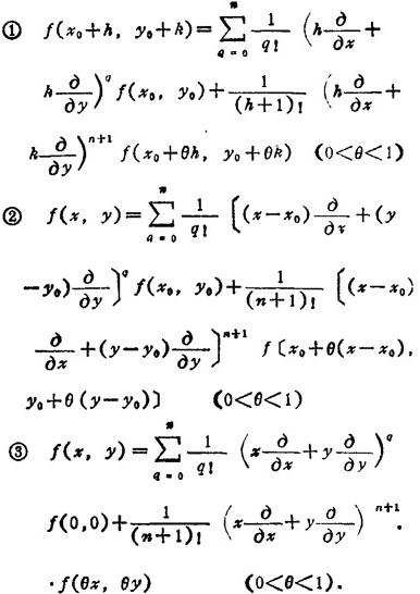
7.6.2 多变量函数的泰勒公式

假设在点(x0,y0)的邻域D内二元函数f(x,y)有直到n+1阶的一切连续偏导数,当x,y改变后新点(x0+h,y0+k)与旧点(x0、y0)连线线段不越出D外,那么f(x,y)在D内可表为如下形式:

随便看

 

离鸟网收录3541549条中英文词条,其功能与新华字典、现代汉语词典、牛津高阶英汉词典等各类中英文词典类似,基本涵盖了全部常用中英文字词句的读音、释义及用法,是语言学习和写作的有利工具。

 

Copyright © 2004-2024 vtrois.com All Rights Reserved
更新时间:2026/4/18 5:53:03