网站首页  词典首页


请输入您要查询的字词:

 

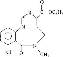
字词 沙马泽尼
类别 中英文字词句释义及详细解析
释义 沙马泽尼

C15H14ClN3O3=319.75

CAS-78771-13-8

乙基7-氯-5,6-二氢-5-甲基-6-氧代-4H-咪唑并[1,5-a][1,4]苯并二氮杂-3-羧酸酯。

Ethyl 7-chloro-5,6-dihydro-5-methyl-6-oxo-4H-imidazo[1,5-a][1,4]benzodiazepine-3-carboxylate.

7-氯-5,6-二氢-5-甲基-6-氧代-4H-咪唑并[1,5-a][1,4]-苯并二氮杂-3-羧酸乙酯。

7-Chloro-5,6-dihydro-5-methyl-6-oxo-4H-imidazo[1,5-a][1,4]-benzodiazepine-3-carboxylic acid ethyl ester.

苯二氮类拮抗药。

沙马西尼。

Sarmazenil.

INN,USAN.

随便看

 

离鸟网收录3541549条中英文词条,其功能与新华字典、现代汉语词典、牛津高阶英汉词典等各类中英文词典类似,基本涵盖了全部常用中英文字词句的读音、释义及用法,是语言学习和写作的有利工具。

 

Copyright © 2004-2024 vtrois.com All Rights Reserved
更新时间:2026/4/18 8:11:44