网站首页  词典首页


请输入您要查询的字词:

 

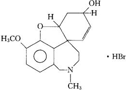
字词 氢溴酸加兰他敏[典]
类别 中英文字词句释义及详细解析
释义 氢溴酸加兰他敏[典]

C17H21NO3·HBr=368.27

CAS-1953-04-4

1,2,3,4,6,7,7a,11c-八氢-9-甲氧基-2-甲基苯并呋喃基-[4,3,2-efg][2]苯吖辛因-6-醇的氢溴酸盐。

1,2,3,4,6,7,7a,11c-Octahydro-9-methoxy-2-methylbenzofuro-[4,3,2-efg][2]benzazocin-6-ol hy drobromide.

抗胆碱酯酶药。用于重症肌无力及小儿麻痹后遗症。

Galanthamine Hydrobromide,Nivalin.

氢溴酸加兰他敏片,氢溴酸加兰他敏注射液。

USAN,MI.

随便看

 

离鸟网收录3541549条中英文词条,其功能与新华字典、现代汉语词典、牛津高阶英汉词典等各类中英文词典类似,基本涵盖了全部常用中英文字词句的读音、释义及用法,是语言学习和写作的有利工具。

 

Copyright © 2004-2024 vtrois.com All Rights Reserved
更新时间:2026/4/17 18:13:42