网站首页  词典首页


请输入您要查询的字词:

 

字词 伯特兰双头垄断模型
类别 中英文字词句释义及详细解析
释义 伯特兰双头垄断模型

1883年法国数理经济学家伯特兰提出的完全不同于古诺模型的双寡头垄断厂商行为模型。

他对古诺的猜测产量变量为零的假设提出批评,认为假定竞争双方的价格都不变是不合适的,他假设双寡头均假定对方的价格不变,也就是说自己降低价格而对方价格不变。为此,他提出以价格为猜测变量且为零,即

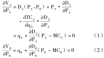
根据伯特兰模型,寡头双方将相互猜测对方的价格,并以对方的既定价格为前提,由此A、B厂商的需求曲线分别为qA=DA(PA,PB),qB=DB(PA,PB)。

则它们的利润函数分别为:

VA=PA·qA-TCA(qA)

=PA·DA(PA,PB)-TCA〔DA(PA,PB)〕

VB=PB·qB-TCB(qB)

=PB·DB(PA,PB)-TCB〔DB(PA,PB)〕

由于它们各自认定对方的价格为常数,所以它们欲实现最大利润,必须满足:

由(1)、(2)式可得PA、PB,并进而得到qA和q↓(B)。

寡头之间的这种价格猜测,会导致双方竞相削价,直至价格达到竞争水平(双方均无经济利润)时为止。因此,“明智”的寡头将停止削价,并使价格恢复到各自尽可能达到最大利润的水平,为此,寡头之间往往“共谋”,形成某种勾结形式。但这属于寡头垄断的长期定价问题,伯特兰模型则属于未出现勾结的短期定价问题。

随便看

 

离鸟网收录3541549条中英文词条,其功能与新华字典、现代汉语词典、牛津高阶英汉词典等各类中英文词典类似,基本涵盖了全部常用中英文字词句的读音、释义及用法,是语言学习和写作的有利工具。

 

Copyright © 2004-2024 vtrois.com All Rights Reserved
更新时间:2026/4/19 14:02:34