比他舍平
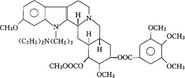
C39H53N3O9=707.86 CAS-53-18-9 1α,2β,3a,4,4aa,5,7,8,13,13bβ,14,14aa-十二氢-1-(2-二乙氨基乙基)-2,11-二甲氧基-3β-(3,4,5-三甲氧苯甲酰氧)-苯并[g]吲哚-[2,3-a]喹嗪-1β-羧酸甲酯。 1α,2β,3α,4,4aα,5,7,8,13,13bβ,14,14aα-Dodecahydro-1-(2-diethylaminoethyl)-2,11-dimethoxy-3β-(3,4,5-trimethoxybenzoyloxy)-benz[g]indole-[2,3-a]quinolizine-1β-carboxylate methyl ester. 1-[2-(二乙氨基)乙基]-11,17二甲氧基-18-[(3,4,5-三甲氧苯甲酰基)氧基]育亨烷基-16-羧酸甲酯。 1-[2-(Diethylamino)ethyl]-11,17-dimethoxy-18-[(3,4,5-trimethoxybenzoyl)oxy]yohimban-16-carboxylic acid methyl ester. 抗高血压药。 Bietaserpine,DL 152,S-1210. INN,DCF,USAN,MI.  |