网站首页  词典首页


请输入您要查询的字词:

 

字词 微分法则
类别 中英文字词句释义及详细解析
释义 微分法则

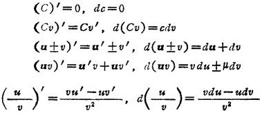
7.2.1 四则运算的微分

若c为常数,函数u(x),v(x)都有导数,则

7.2.2 复合函数的导数

若y=f(u),u=φ(x)都有导数,则

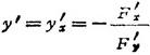
7.2.3 反函数的导数

若函数y=f(x)在点x处有不为零的导数,且反函数x=f-1(y)在此点连续,则存在且

7.2.4 隐函数微分法则

设函数F(x,y)连续,且对每个自变量都有连续的偏导数,而(x,y)0

则由F(x、y)=0所决定的函数y=y(x)的导数

式中

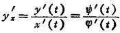
7.2.5 用参数表示的函数的微分法则

设φ(t)、ψ(t)为可微函数,且≠0,则由参数方程

所决定的x的单值连续函数y=Ψ〔φ-1(x)〕的导数:

随便看

 

离鸟网收录3541549条中英文词条,其功能与新华字典、现代汉语词典、牛津高阶英汉词典等各类中英文词典类似,基本涵盖了全部常用中英文字词句的读音、释义及用法,是语言学习和写作的有利工具。

 

Copyright © 2004-2024 vtrois.com All Rights Reserved
更新时间:2026/4/18 8:55:17