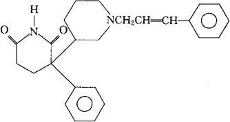
桂哌林
C25H28N2O2=388.51 CAS-14796-24-8 3-苯基-1′-(3-苯基-2-丙烯基)-[3,4′-联哌啶]-2,6-二酮。 3-Phenyl-1′-(3-phenyl-2-propenyl)-[3,4′-bipiperidine]-2,6-dione. 2-(1-肉桂基-4-哌啶基)-2-苯基戊二酰亚胺。 2-(1-Cinnamy1-4-piperidyl)-2-phenylglutarimide. 安定药。用于抗精神病、精神抑制。 桂双哌酮,丙烯导眠能。 Cinperene,R 5046. INN,USAN.  |