网站首页  词典首页


请输入您要查询的字词:

 

字词 表面温度不变情况下的加热
类别 中英文字词句释义及详细解析
释义

表面温度不变情况下的加热


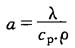
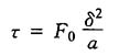
加热时间按下式计算:

式中 a——钢材的导温系数,m2/s,并有:

F0——傅里叶准数(见图6-5).

图6-5 钢材(或铸铁)截面温差与时间的关系

随便看

 

离鸟网收录3541549条中英文词条,其功能与新华字典、现代汉语词典、牛津高阶英汉词典等各类中英文词典类似,基本涵盖了全部常用中英文字词句的读音、释义及用法,是语言学习和写作的有利工具。

 

Copyright © 2004-2024 vtrois.com All Rights Reserved
更新时间:2026/4/21 4:33:57