核黄素磷酸钠[中]
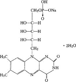
C17H20N4NaO9P·2H2O=514.36 CAS-130-40-5 6,7-二甲基-9-(D-1-核糖醇基)异咯嗪-5′-二氢磷酸单钠盐二水化合物。 6,7-Dimethyl-9-(D-1-ribitolyl)isoalloxazine-5′-(dihydrogen phosphate)monosodium salt dihydrate. 维生素类药。用于缺乏维生素B2所引起的各种粘膜及皮肤炎症。 核黄素-5′-磷酸酯钠,维生素B2磷酸钠。 Riboflavin 5′Phosphate Sodium,Riboflavin Phosphate Sodium,Flamotide,Cytoflav,Coflvinase,Hyryl,Vitamin B2 Phosphate Sodium. 核黄素磷酸钠注射液。 BP,JP,USAN,USP,MI.  |